Gesellschaft Deutscher Chemiker

Trendbericht

Trendbericht Organische Chemie 2023

Nachrichten aus der Chemie, Februar 2023, S. 40-66, DOI, PDF. Login für Volltextzugriff.

Von Wiley-VCH zur Verfügung gestellt

Polystyrolproben werden mit Eisen(III)chlorid und weißen LEDs zu Oligomeren und Benzoylprodukten; ein Wolframatkatalysator invertiert die Absolutkonfiguration an sp3-Kohlenstoffzentren; gelöstes Rätsel um eine symmetrieverbotene konrotatorische 14-Elektronen-Elektrocyclisierung; Polycarbonate, die sich ohne Lösungsmittel recyceln lassen: Highlights von Oktober 2021 bis 2022.

Organokatalyse

Bei Enzymen befinden sich die katalytisch aktiven Zentren in tiefen Taschen, daher sind sie meist spezifischer und selektiver als andere Katalysatoren. List und Mitarbeitende haben die Enantioselektivität von Enzymen sogar übertroffen, und zwar mit der Cyanosilylierung von Ketonen wie (1) mit chiralen Brønsted-Säure-Katalysatoren wie Imidodiphosphorsäureimidat (3) (Abbildung 1a).1) Umsetzung von Butanon (1), bei dem beide Substituenten der Carbonylgruppe ähnlich groß sind, mit Trimethylsilylcyanid (2) liefert den Silylether (4) in einem Enantiomerenüberschuss (ee) von 96 %. Die Autoren erklärten diese Selektivität damit, dass das katalytische aktive Zentrum von (3) durch die flankierenden Substituenten wie bei einem Enzym in einer tiefen Tasche liegt (Abbildung 1b).

https://eu-central-1.graphassets.com/Aype6X9u2QGewIgZKbFflz/F6XxCV9jTm66Ao5dtGvb
a, b) Enantioselektive Synthese von α-Cyanosilylethern; c, d) Multi-Komponenten-Reaktion zu alkaloidartigen Bicyclen.

In einer Multikomponentenreaktion aus einfachen, achiralen Startmaterialen synthetisierten Maulide und Team unter Lewis-Säure-Katalyse mit Boran (10) Azabicyclen mit bis zu vier Stereozentren in einem Schritt (Abbildung 1c).2) Nach Entstehung des Enamins (7) aus (5) und (6) finden zunächst eine Michael-Addition und eine intramolekulare Mannich-Reaktion mit dem Nitroalken (8) statt. Das Boran (10) induziert nun die Ringöffnung des Cyclobutans (9) zum Zwitterion (14) in einem dynamischen Gleichgewicht (Abbildung 1d). Ein inverser Hydridtransfer über (15) zu (16) mit Borhydrid (11) als Shuttle und eine abschließende Mannich-Kondensation liefern (12) als thermodynamisch stabilstes Isomer. Heterocyclen wie (12) sind über eine asymmetrische Michael-Addition auch enantiomerenangereichert zugänglich (fünf Beispiele, 95 bis 99 % ee). Umwandlung einiger Azabicyclen in Alkaloidnaturstoffderivate wie (13) beweist die Schrittökonomie des neuen Dreikomponentenverfahrens.

Der Schwefel-Fluorid-Austausch (sulfur fluoride exchange, Sufex) der Sharpless-Gruppe ist eine nahezu perfekte Klickreaktion:3) Sie ermöglicht, elektrophile Säurefluoride des Schwefels mit O-, N- und C-Nukleophilen zu verknüpfen. Wie Moses und Mitarbeitende jüngst beschrieben, steigert eine Kombination von Bartons Base (20) und Bis(trimethylsilyl)amin (19) die Effizienz (Abbildung 2a):4) Die vollständige Umsetzung vieler Substrate erfordert nur ein Molprozent der Brønsted-Base (20) und wenige Minuten Reaktionszeit. Auch schwierige aliphatische Sulfonsäurefluoride und Alkohole eignen sich für diese C-O-Bindungskonstruktion. Nach Meinung der Autoren reagiert zunächst der Alkohol (18) mit (19) zum Silylether (22) (Abbildung 2b). Deprotonierung von (18) durch Guanidin (20) soll diese O-Si-Bindungsbildung katalysieren. Anschließend wird die Silylgruppe von (22) auf (20) als Lewis-Basen-Katalysator übertragen, wodurch erneut ein nukleophiles Alkoholat entsteht. Die silylierte Guanidinium-Zwischenstufe (23) agiert dann als Lewis-Säure in der finalen konzertierten Substitution von Fluorid in (17) durch den Alkohol (18).

https://eu-central-1.graphassets.com/Aype6X9u2QGewIgZKbFflz/O23LNgI2StyVJ7UmipdG
Beschleunigte Sulfur-Fluoride-Exchange(Sufex)-Reaktion zur Synthese von Schwefelestern.

Peter Huy, Universität Rostock

Peter.huy@uni-rostock.de

Elektrosynthese

Im Jahr 2022 überzeugte die elektroorganische Synthese mit scheinbar einfachen chemischen Transformationen wie Methylierung oder Isomerisierung von Doppelbindungen. Die Katalyse mit Übergangsmetallen der ersten Reihe sowie die selektive Herstellung von energiereichen Verbindungen sind weitere Trends.

Kleine Änderungen verursachen bei Medikamentenwirkstoffen oft große Effekte. Eingebaute Methylgruppen verbessern oft die pharmakologischen Eigenschaften (Magic-Methyl-Effect). Eine Vorschrift kommt von der Gruppe um Lin in Zusammenarbeit mit Genentech (Abbildung 3):5) Im ersten Schritt der Shono-Oxidation erfolgt eine α-Aminsubstitution mit Methanol oder Trifluorethanol (TFE). Anschließend findet eine Methylierung mit Dimethylzink statt. Kleine Moleküle wie Coniin lassen sich ebenso umsetzen wie komplexere wie Celecoxib.

https://eu-central-1.graphassets.com/Aype6X9u2QGewIgZKbFflz/eM8XN5hJQTeC5IHwidgs
Highlights aus der Elektrosynthese.

In einem Kooperationsprojekt berichten Baran und Mitarbeiter über die effiziente Isomerisierung terminaler Olefine zu den thermodynamisch stabileren internen Doppelbindungen. Schlüssel zum Erfolg war hier die homogene Kobaltkatalyse kombiniert mit elektroorganischer Reaktionsführung.6) Die Methode eignet sich zudem zur Z-selektiven Reduktion von Alkinen zu Alkenen. Die Versuche funktionieren mit wenigen Milligramm bis zu 100-Gramm-Mengen im Flusselektrolyseur.

Vantourout und Mitarbeiter haben die mangankatalysierte C–C-Kupplungsreaktion zwischen α-Carbonylverbindungen und Olefinen untersucht.7) Wie sich dabei herausstellte, lässt sich stöchiometrisches Mangan(III) auch elektrokatalytisch aus Mangan(II)-acetat herstellen. Dadurch sinkt die Einsatzmenge des Metallkatalysators von 1,5 Äquivalenten auf 15 Molprozent..

Die Gruppe um Lei berichtete von einer elektrochemischen Substitutionsreaktion, die aromatische Methoxygruppen gegen Glykol austauscht.8) Neben einfachen substituierten Aniliden wurden Ketalstrukturen durch Dearomatisierung erhalten.

Die elektrochemische Dearomatisierung entwickelten Baran und seine Gruppe weiter. Der Birch-ähnlichen Reduktion aus dem Jahr 2019 folgt eine mildere Variante, die sich vor allem dazu eignet, Heterocyclen selektiv zu reduzieren.9)

Den Aufbau von Indazol-3-onen haben Waldvogel et al. entwickelt.10) Diese Heterocyclen wurden durch intramolekulare N–N-Kupplung zwischen geschützter Anilin- und Amidfunktion zusammengesetzt.

Die Dehydrierung von Hydrazonen haben Lam und Mitarbeiter untersucht. Die Autoren synthetisierten damit elektrochemisch hochreaktive Diazoverbindungen und isolierten sie.11)

Wissenschaftler, die neu in die elektroorganische Synthese einsteigen, vernachlässigen oft Parameter wie die Zusammensetzung von Kohlenstoffelektroden oder den Elektrodenabstand. Beil und Waldvogel haben daher eine Übersicht erstellt, die es Einsteigern erleichtern soll, reproduzierbare Ergebnisse zu erhalten.12a) Zusätzlich ist die Gegenreaktion auf der Anode oder Kathode eine konzeptionelle Hürde für den Erfolg, eine weitere Übersicht und Anleitung sollen diese senken.12b)

Sebastian B. Beil,

Universität Groningen

s.b.beil@rug.nl

Siegfried R. Waldvogel,

Universität Mainz

waldvogel@uni-mainz.de

Metallorganik: Strukturen und Mechanismen

Methan ist Hauptbestandteil des Erdgases, ein Treibhausgas, chemischer Rohstoff und Energieträger. Selektive Reaktionen des einfachsten Kohlenwasserstoffs erregen damit grundsätzlich Interesse. Die Forschungsgruppe Ball koordinierte Methan an ein ungesättigtes kationisches Osmium(II)-Intermediat (25) mit einem Krossing-Gegenion (Abbildung 4).13) Dafür wurde bei tiefen Temperaturen in einem schlecht koordinierenden Lösungsmittel ein CO-Ligand photochemisch von Startkomplex (24) abgespalten. Der Methankomplex (26) ist NMR-spektroskopisch nachgewiesen. Die Halbwertszeit des Komplexes (26) beträgt bei –90 °C 13 Stunden.

https://eu-central-1.graphassets.com/Aype6X9u2QGewIgZKbFflz/NCT8UuIrRyumVrLz2BCb
Methanaddukt an kationischem Osmiumkomplex.

Aufbauend auf synthetischen Vorarbeiten der Forschungsgruppen von Morandi und Arndtsen untersuchte die Avasare-Gruppe den Mechanismus einer Shuttle-Katalyse durch Palladium-Xantphos-Komplexe mit DFT-Modellrechnungen.14) Der Austausch von Iod- und Chlorcarbonyl-Substituenten an Aromaten führt zu einer Gleichgewichtsbildung. Der mononukleare Morandi-Mechanismus wurde insofern bestätigt, als dass sich der Xantphos-Chelatligand über Phosphonium-Palladium(0)-Intermediate (27) mit den Substituenten seiner Phosphoratome an der Reaktion beteiligen kann und damit kein Zuschauerligand ist (Abbildung 5).

https://eu-central-1.graphassets.com/Aype6X9u2QGewIgZKbFflz/jzjrsrR3TYGuHFu8oPsg
Shuttle-Katalyse zum Austausch von Iod- und Chlorcarbonylsubstituenten.

Die oxidative Addition von Aroylchloriden an Palladium(0) zu Intermediat (28) wird ebenfalls als nicht geschwindigkeitsbestimmend vorhergesagt. Es bereitete jedoch Schwierigkeiten, niedrig-energetische Pfade zu Palladium(0)-CO-Spezies wie (29) zu modellieren. Dinukleare Pfade mit dem Austausch von CO-, Chlorid- und Iodid-Liganden zwischen zwei Palladium(II)-Zentren scheinen immer noch konkurrenzfähig zu sein.

Synthetisch schwierig ist die direkte Synthese von Phenolen aus den entsprechenden Benzolderivaten. Eine Alternative ist eine nickelkatalysierte reduktive Umsetzung von Aryliodiden oder -bromiden (30) mit N2O (Lachgas) als Sauerstoffquelle (Abbildung 6).15) Mit dem tridentaten Stickstoffliganden (33) entstehen mit Zink als stöchiometrischem Reduktionsmittel die entsprechenden Phenole (32), viele funktionelle Gruppen werden toleriert. Als Schlüsselschritt der Reaktion schlagen die Autoren eine organometallische Baeyer-Villiger-Reaktion vor, die sie mit Übergangszustand (31) andeuten. Hierbei wird das Sauerstoffatom aus N2O unter Abspaltung des Nebenprodukts N2 übertragen.

https://eu-central-1.graphassets.com/Aype6X9u2QGewIgZKbFflz/ZIY7eVkkTN2m73c0fbB2
Nickelkatalysierte Phenolherstellung mit N2O als Schlüsselreagenz.

Basische aliphatische Amine kommen in vielen biologisch aktiven Verbindungen vor. Um tertiäre Amine zu erhalten, eignet sich nicht nur die reduktive Aminierung, sondern eine direkte palladiumkatalysierte oxidative allylische Aminierung einfach zugänglicher nicht aktivierter terminaler Alkene (34) (Abbildung 7).16) Da viele basische Amine Übergangsmetallkatalysatoren deaktivieren, wurden die entsprechenden Bortrifluorid-Aminkomplexe (35) als Schlüsselreagenzien vorgestellt. Sie setzen langsam Amine frei und machen so die tertiären Amine (36) mit großer Substratbreite und hoher Toleranz funktioneller Gruppen zugänglich. Als Ligand für das katalytisch aktive Palladium ist hierbei der Sulfoxid-Oxazolinligand (37) notwendig; ein Chinon dient als terminales Oxidationsmittel.

https://eu-central-1.graphassets.com/Aype6X9u2QGewIgZKbFflz/giolmQyQMWcDIUh55hL0
Palladiumkatalysierte allylische C–H-Aminierung mit Amin-BF3-Komplexen als geschützten Aminsurrogaten.

Erst in den letzten Jahren wurde alternativ zu RuII- und IrII-Katalysatoren die Photoredoxkatalyse mit Kupferkomplexen untersucht. Ein einfacher Kupfer(I)-N-heterocyclischer Carbenkomplex (IPrCuX) und Binap als zugesetzter Bisphosphinligand bilden in situ einen photoaktiven [Cu(Binap)2]+- und einen [Cu(NHC)2]+-Komplex (Abbildung 8).17) Im katalytischen Setting wirken dabei beide Komplexe parallel und können mit Licht eine Cyclisierung alkensubstituierter (Hetero-)Aryle (38) mit Carbonsäurechloriden (39) initiieren. Dabei entstehen die entsprechenden ringgeschlossenen Produkte (40). Vermutungen der Autor:innen zufolge startet [Cu(Binap)2]+ als photoreaktiver Komplex eine Radikalreaktion, während [Cu(NHC)2]+ die eigentliche C–C-Bindungsknüpfung vermittelt. Beide in situ erzeugten Kupfer(I)komplexe wirken also synergistisch.

https://eu-central-1.graphassets.com/Aype6X9u2QGewIgZKbFflz/W6WeutpbQeBQ0j0zVNiR
In-situ-Bildung photoaktiver Kupfer(I)komplexe als Katalysatoren in Cyclisierungsreaktionen.

Bernd F. Straub,

Universität Heidelberg

straub@oci.uni-heidelberg.de

Johannes Teichert, TU Chemnitz johannes.teichert@chemie.tu-chemnitz.de

Nachhaltige Chemie

Wiederverwertbare oder natürlich abbaubare Polymere aus Biomasse erleichtern, die Wirtschaft von fossilen Ressourcen zu entkoppeln und verhindern die Akkumulation von Plastik in der Umwelt. Luterbacher et al. synthetisierten mit Glyoxylsäure die Disäure (41) in einem Eintopf-Zweischritt-Prozess direkt aus Xylose oder Lignocellulose (Abbildung 9). Nach Veresterung zum Dimethylester (42) lässt sich dieser in Gegenwart verschiedener Diole zu Poly(alkenxylosediglyoxylat)(PAX)-Polyestern polykondensieren. Diese eignen sich für viele Verarbeitungsformen, etwa Spritzguss und 3-D-Druck, und lassen sich sowohl in das Monomer (42) als auch in die Startmaterialien zerlegen.

https://eu-central-1.graphassets.com/Aype6X9u2QGewIgZKbFflz/xSIbOqpQp2eiYMf2DEmR
Synthese des Monomers (42) aus Xylose und Polymerisation zu verschiedenen Biopolymeren PAX.18)

Polystyrol wird zurzeit zu weniger als einem Prozent wiederverwertet. Durch Radikale im Polymerrückgrat lässt sich ein oxidativer Abbau auslösen. Oh und Stache nutzen Eisen(III)chlorid und weiße LEDs, um Chlorradikale in Aceton unter Luftsauerstoff zu erzeugen. Unter diesen Bedingungen werden kommerzielle Polystyrolproben in Oligomere und Benzoylprodukte zersetzt (Abbildung 10). Additive, etwa zur Färbung, erschweren dies.19)

https://eu-central-1.graphassets.com/Aype6X9u2QGewIgZKbFflz/Vo7lfL5FTni42nHQTOE0
Anwendung der optimierten Zerlegungsbedingungen auf kommerzielle Polystyrolproben.19)

Den Einfluss von Additiven auf die Zersetzung untersuchen Epps und Korley. Die Aktivität des Modellkatalysators Pt/WO3/ZrO2 zum Hydrocracken quantifizierten sie unter Einfluss gewöhnlicher Kunststoffadditive (hauptsächlich Antioxidantien). Wie sich bei der Zerlegung von High-Density-Polyethylen (HDPE) zeigte, gehen unbehandelte HDPE-Pellets mit einer Ausbeute von 20 % in extrahierbare Produkte über, während das von Additiven befreite Polymer 86 % Ausbeute lieferte.20)

Die Hydroformylierung ist für die Industrie wichtig, um Aldehyde herzustellen. Wie Franke et al. auf Grundlage umfangreicher in-situ-spektroskopischer Untersuchungen zeigen, erlauben gut verfügbare Cobaltkatalysatoren die Hydroformylierung unter phosphorfreien Bedingungen. Die Umsetzung von Hexen (43) mit Co(acac)2 bei 140 °C und 50 bar Synthesegas führte in 74 % Ausbeute zu dem linearen (44) und verzweigten Aldehyd (45) in einem Verhältnis von 2:3 (Abbildung 11).21)

https://eu-central-1.graphassets.com/Aype6X9u2QGewIgZKbFflz/f8R5788BR2C38UxYqPdh
Cobaltkatalysierte Hydroformylierung von Hex-1-en (43) nach Franke und Mitarbeitenden.21)

Hanna Sebode,

Leibniz-Institut für Katalyse

hanna.sebode@catalysis.de

Thomas Werner,

Universität Paderborn

th.werner@uni-paderborn.de

Photochemie

Über eine enantioselektive, radikalische Addition an α,β-ungesättigte Carbonsäurederivate berichtete die Forschungsgruppe Melchiorre. Anhydrid (46) wird dabei initial durch den Lewis-basischen Katalysator (47) aktiviert und zu Intermediat (48) umgesetzt. Bengalrosa fungiert als Photokatalysator für die Decarboxylierung von Glycinderivat (49), woraufhin im stereochemiebestimmenden Schritt die radikalische Addition stattfindet (Abbildung 12a).22) Weitere Neuerungen in der Photoredoxchemie aus Ritters Labor ermöglichen, Olefine direkt zu Morpholinen umzusetzen.23)

https://eu-central-1.graphassets.com/Aype6X9u2QGewIgZKbFflz/j7mEBfLPSeyPEjg3cglU
Neue photochemische Methoden basierend auf a) Photoredoxkatalyse, b) H-Atom-Abstraktion, c) Triplett-Sensibilisierung und d) direkter Reagenzanregung.

Wie Wendlandt und Mitarbeiter:innen zeigen, eignet sich der Wolframatkatalysator (50) dazu, die Absolutkonfiguration an sp3-Kohlenstoffzentren zu invertieren (Abbildung 12b). Die Strategie beruht dabei auf einer H-Atom-Abstraktion am sp3-Zentrum und der intermediären Bildung eines C-zentrierten Radikals. Disulfid (51) wirkt nach Reduktion als H-Atomdonor bei der Entstehung des Produkts (52).24)

Die Forschungsgruppen Hauer, de Vivie-Riedle und Bach haben B-Cl-Bindungen in Aldehyd-BCl3-Komplexen photochemisch induziert homolytisch gespalten. Hier ermöglicht das freigesetzte Cl-Radikal, H-Atome an Alkansubstraten zu abstrahieren.25)

Eine neue Facette der Triplett-sensibilisierten [2+2]-Photocycloaddition kommt von der Arbeitsgruppe Glorius (Abbildung 12c): Statt wie üblich zwei π-Bindungen zu zwei neuen σ-Bindungen umzusetzen ([2π+2π]), brachten die Forscher:innen eine σ-Bindung des Bicyclo[1.1.0]butans (53) zur Reaktion. Mit Thioxanthon (TXT) als Triplett-Sensibilisator für Cumarin (54) entstanden so die entsprechenden Cycloadditionsprodukte (55).26)

Auch die Forschungsgruppen Toste und Yoon nutzten den Triplett-Energietransfer, um mit Iridium-Photokatalysatoren und chiralen Phosphorsäuren die enantioselektive [2+2]-Photocycloaddition mit Vinylpyridin-Substraten durchzuführen.27)

Eine Alternative zur klassischen Ozonolyse fand die Forschungsgruppe Leonori, indem sie Olefinsubstrate mit photochemisch angeregten Nitroaromaten umsetzte (Abbildung 12d). In einer schrittweise erfolgenden [3+2]-Cycloaddition entsteht dabei das Intermediat (56), das nach Cycloreversion hydrolytisch in die beiden Carbonyleinheiten gespalten wird. Die Autoren entwickelten basierend auf mechanistischen Studien Reaktionsbedingungen, unter denen sich (–)-α-Cedren (57) und weitere Substrate oxidieren lassen.28) Die direkte Anregung deprotonierter N-Tosylhydrazone erlaubte es der Arbeitsgruppe König, Carbonylverbindungen mit Formaldehyd zu homologisieren.29)

Golo Storch, TU München

golo.storch@tum.de

Physikalisch-organische Chemie und Computerchemie

Im vergangenen Jahr wurde ein Rätsel der organischen Chemie gelöst: Im Jahr 1978 berichtete Prinzbach, dass das vinyloge Sesquifulvalen (58) eine symmetrieverbotene konrotatorische 14-Elektronen-Elektrocyclisierung eingeht, die die Woodward-Hoffmann-Regeln verletzt (Abbildung 13). Wie Houk und Mitarbeiter nun mit Dichtefunktionaltheorie(DFT)-Rechnungen zeigten, ist die starke Polarisierung von (58) für den Reaktionsverlauf verantwortlich, der sich fast als Angriff eines Cyclopentadienylanions an ein Tropyliumion beschreiben lässt.30)

https://eu-central-1.graphassets.com/Aype6X9u2QGewIgZKbFflz/cQXOXER8SEW1ICz5msEA
Ein symmetrieverbotener konrotatorischer Ringschluss, den die Polarisierung der Ausgangsverbindung begünstigt.

Dass die C−H-Bindungsstärke von Alkanen mit zunehmendem Substitutionsgrad des Kohlenstoffs sinkt, erklärt die Literatur oft damit, dass Alkylsubstituenten das bei einer homolytischen Bindungsspaltung entstehende Radikal stabilisieren. DFT-Rechnungen der Gruppe von Bickelhaupt zufolge ist genau das Gegenteil der Fall: Alkylsubstituenten destabilisieren Alkylradikale.31) Das Team erklärt die mit zunehmender Substitution sinkende C−H-Bindungsstärke damit, dass die zunehmende Pauli-Repulsion zwischen den Alkylsubstituenten die tetraedrische Ausgangsverbindung noch stärker destabilisiert als das entstehende Alkylradikal.

Anhand unterschiedlich substituierter ortho-(Arylmethyl)pyridiniumsalze (60) diskutieren Chen und Mitarbeiter, wie dispersive und Kation-π-Wechselwirkungen die Konformation mittelgroßer organischer Moleküle beeinflussen (Abbildung 14).32) Basierend auf spektroskopischen Untersuchungen in der Gasphase und computerchemischen Berechnungen kommen die Autoren dieser Studie zu dem Schluss: Es gibt attraktive Wechselwirkungen zwischen sterisch anspruchsvollen Alkylsubstituenten. Wie die Studie zudem zeigt, ist auch mit modernen computerchemischen Methoden schwierig vorherzusagen, wie einander entgegenstrebende nicht-kovalente Wechselwirkungen auf die Konformerenverteilung organischer Moleküle dieser Größe wirken.

https://eu-central-1.graphassets.com/Aype6X9u2QGewIgZKbFflz/McN5zuDbRS6mtrWK8rC7
Spektroskopisch untersuchte Gleichgewichte zwischen Konformeren und Isomeren, die sich in der Art nichtkovalenter Wechselwirkungen unterscheiden.

Um die Wahl eines Liganden für eine übergangsmetallkatalysierte Reaktion zu erleichtern, haben Gensch et al. mit computerchemischen Methoden ein Onlinearchiv von Phosphinliganden erstellt.33) Basierend auf einer Konformerenanalyse und DFT-Rechnungen generierten sie Deskriptoren für 1558 Liganden. Durch maschinelles Lernen wurden dann die Eigenschaften von 300 000 Liganden vorhergesagt und diese dem „Kraken“ genannten Archiv hinzugefügt.

König, Hausmann und Schreiner synthetisierten das 1,4-Cyclooctatetraendienthol (61). Dieses steht im thermischen Gleichgewicht mit dem 1,6-Valenzisomer (61)‘ (Abbildung 14).34) Strukturoptimierungen auf DFT-Niveau zufolge bilden die O−H-Gruppen in (61)‘ ein Trapez. Diese Anordnung entspricht der Struktur des cyclischen Wasserdimers, das einen Übergangszustand darstellt. Temperaturabhängige NMR-Messungen des Gleichgewichts zwischen (61) und (61)‘ in verschiedenen Lösungsmitteln erlaubten es, die Wasserstoffbrückenbindungsstärke des cyclischen Wasserdimers abzuschätzen; sie beträgt zirka 4 kcal·mol−1 in apolaren Lösungsmitteln.

Urs Gellrich, Universität Gießen

Urs.Gellrich@ org.chemie.uni-giessen.de

Naturstoff(total)synthese

Monoterpen-Indolalkaloide sind biosynthetisch auf die Bausteine Secologanin (62) und Tryptamin (63) zurückzuführen. Strukturvarianz dieser Alkaloide tritt maßgeblich im Terpenteil auf, wobei Aspidosperma-Alkaloiden ein pentacyclisches Grundgerüst in charakteristischer Verknüpfung gemein ist (Abbildung 15, oben). Die Gruppe von Movassaghi entwickelte einen plattformbasierten Ansatz (Abbildung 15, unten), mit dem sich durch zielgenaue Funktionalisierung des komplexen Intermediats (64) erstmals vier neue Moleküle herstellen lassen: die C17-oxidierten Kopsifoline A (65) und E (66) sowie die C7-methylenverbrückten Dimere (–)-Voacandimin (67) und (–)-Voacinol (68).35,36) Die Synthese beginnt mit der Verknüpfung des aus 2-Iodanilin (69) leicht zugänglichen Indolderivats (70) mit Ester (71). Dabei wird der erste Verzweigungspunkt (72) nach sechs Schritten erreicht (Abbildung 16). Das stereogene Zentrum entsteht aus einem achiralen Intermediat durch asymmetrische Ringschlussmetathese mit einem Enantiomerenüberschuss von bis zu 97 %.35) Aus (72) sind Alkaloide mit neun Kohlenstoffatomen im Terpengerüst wie N-Benzoylcylindrocarin zugänglich.37,38) Alkaloide mit zehn Kohlenstoffatomen im Terpengerüst werden vom nächsten Verzweigungspunkt (64) aus erreicht. Die iridiumkatalysierte Borylierung erfolgt regioselektiv an C17, wobei sich eine 1:1-Mischung von HBpin und B2pin2 als das am besten geeignete Borylierungsreagenz erwiesen hat. Die Boronsäurefunktion in (73) wird anschließend zur Hydroxy- oder Methoxygruppe (74) umgewandelt, und Cyclisierung des primären Alkohols zum F-Ring unter Mitsunobu-Bedingungen liefert die Kopsifoline A und E.36)

https://eu-central-1.graphassets.com/Aype6X9u2QGewIgZKbFflz/KriNEWU2R2GxGAotkFkM
Oben: Grundgerüst der Aspidosperma-Alkaloide und Retrobiosynthese. Unten: Aus dem zentralen Intermediat (64) erstmals hergestellte Alkaloide.
https://eu-central-1.graphassets.com/Aype6X9u2QGewIgZKbFflz/uYcytipRReGUkKTjVPRV
Syntheseschema zu Aspidosperma-Alkaloiden. Grau: Frühere Synthesen der Arbeitsgruppe.37)

Movassaghi et al. funktionalisierten durch modifizierte Polonovski-Portier-Bedingungen (64) regioselektiv an Position 7:39) Durch Oxidation an Position 9 zum N-Oxid und anschließender Dehydratisierung entsteht ein Iminum-Michael-System (75), das den Ringschluss zum Oxolan triggert. Das entstandene, instabile Enamin reagiert mit in situ gebildetem HCN zum Aminonitril (76). Nach Aktivierung des Aminonitrils durch Zn(OTf)2 entsteht mit dem Eschenmoser-Salz das Iminiumion (77), das mit dem zweiten Monomer (78) zum Bisaminonitril kuppelt. Kontrolliert durch die jeweiligen Reaktionsbedingungen öffnen sich wahlweise ein oder beide Oxolanringe des Dimers, und reduktive Entfernung des Nitrils führt zu den Naturstoffen (67) und (68).

Sebastian Myllek, Jörg Pietruszka, Universität Düsseldorf

s.myllek@fz-juelich.de,

j.pietruszka@fz-juelich.de

Enzymreaktionen

S-Adenosylmethionin (SAM) ist für seine Fähigkeit einen C1-Baustein zu übertragen, sowie als Quelle für 5‘-Deoxyadenosinradikale bekannt,40) β-Nikotinamidadenindinukleotid (NAD) vor allem als Oxidationsmittel in Redoxreaktionen.41) Kommt es zu Abweichungen dieser Funktionen, kann die Aufklärung eines neuen Biosynthesewegs schwierig werden. Von dem zytostatisch wirkenden Naturstoff Altemicidin war die chemische Struktur bekannt, und das zugehörige biosynthetische Gencluster haben im Jahr 2019 Hu et al. identifiziert.42) Dennoch blieb der Mechanismus der Biosynthese unklar. Wie Barra et al. nun zeigten, reagieren der Redox-Cofaktor NAD sowie der Methylgruppendonor und Radikalgeber SAM nicht wie gewohnt, sondern gehen eine ungewöhnliche Kupplungsreaktion ein (Abbildung 17).43)

https://eu-central-1.graphassets.com/Aype6X9u2QGewIgZKbFflz/bsWwHsyQQe2Rn6uJWQwV
Postulierter Reaktionsmechanismus des Enzyms SbzP.43)

Aus chemischer Sicht wird dabei der elektronenarme Pyridinium-Ring von β-NAD selektiv an Position C4 und C5 alkyliert. Nach Vermutung der Autoren fungiert im Lauf der Reaktion der C4-Kohlenstoff des Pyridiniums als Michael-Akzeptor (Elektrophil). Nach einem nukleophilem Angriff des γ-Kohlenstoffs der Aminosäure in SAM entsteht demnach ein 1,4-Dihydropyridin-Aldimin-Intermediat. Nach Isomerisierung des Aldimins zum (protonierten) Ketimin greift der C5-Kohlenstoff der Enamininstruktur als Nukleophil am α-Kohlenstoff der ursprünglichen Aminosäuregruppe von SAM an. In Summe führt dies zu einer [3+2]-Cycloaddition am Pyridiniumion. Die Reaktion geht somit mit einer Dearomatisierung einher. Harmange Magnani und Maimone haben kürzlich eine Totalsynthese von Altemicidin publiziert, bei der sie eine ähnliche Dearomatisierungsstrategie wählten.44)

Das neu identifizierte Enzym wurde außerdem genutzt, um auf bioinformatischem Weg weitere Biosynthesecluster mit Sequenzhomologie zum SbzP-Gen in grampositiven und -negativen Bakterien zu finden. Die Autoren hoffen, mit den Erkenntnissen die Erforschung der Biosynthese β-NAD-abgeleiteter Naturstoffe voranzutreiben. Enzyme, die Cofaktoren als Substrate nutzen, sind oft einzigartige Biokatalysatoren, die – auch aus chemischer Sicht faszinierend – C–C-Bindungen bilden können.45)

Philipp Germer, Wolfgang Hüttel,

Jennifer N. Andexer, Uni Freiburg

jennifer.andexer@ pharmazie.uni-freiburg.de

Biosynthese

Strychnin (82) beschäftigt aufgrund seiner komplexen Struktur und potenten neurotoxischen Aktivität seit mehr als 200 Jahren die Naturstoffforscher. O’Connor und Mitarbeiter beschreiben nun erstmals dessen Biosynthese sowie die der strukturverwandten Substanzen Diabolin und Brucin (83).46) Ausgehend von Geissoschizin entsteht in vier enzymatischen Schritten zunächst die letzte gemeinsame Vorstufe, der Wieland-Gumlich-Aldehyd (79) (Abbildung 18a). Zwei BAHD-Acyltransferasen katalysieren die divergente Bildung von Diabolin (SpAT durch N-Acetylierung) versus Prestrychnin (80) (SnvAT durch N-Malonylierung). (80) cyclisiert spontan unter Abspaltung von CO2 und H2O zu Isostrychnin (81) und Strychnin (82). In einer Sequenz aus zweimal Hydroxylierung und O-Methylierung am Aromaten in (82) katalysieren vier weitere Enzyme schließlich die Bildung von Brucin (83).

https://eu-central-1.graphassets.com/Aype6X9u2QGewIgZKbFflz/XTmcNQS4CATAFVud21gg
a) Ausschnitt aus der Biosynthese von Diabolin, Strychnin (82) und Brucin (83); b) Triterpenbiosynthese über Hexaprenyl-Diphosphat (84) zu (85).

Die Biosynthese aller bislang bekannten Triterpene verläuft über das zentrale Intermediat (Oxido-)Squalen. Abe, Dickschat, Liu und Mitarbeiter haben drei Klassen neuer, chimerer Triterpensynthasen (TrTs) mit Prenyltransferase- (PT) und Terpencyclase-Domänen (TC) entdeckt.47) Die PT-Domänen erzeugen ausgehend von Dimethylallyl- (DMAPP) und Isopentenyldiphosphat (IPP) zunächst jeweils Hexaprenyldiphosphat (84) als zentrales Intermediat (Abbildung 18b). Dieses setzen die TC-Domänen selektiv zu enzymspezifischen makrocyclischen Triterpenen wie (85) um.

Die Biosynthese des Proteasominhibitors Salinosporamid A (87) wurde in den letzten Jahren beleuchtet. Moore und Mitarbeiter haben nun den letzten unbekannten Schlüsselschritt mit einer Modellsubstanz mit vereinfachter Struktur aufgeklärt.48) Ein an der Peptidylcarrierproteindomaine (PCP) des Enzyms SalB kovalent gebundenes, lineares Vorläufermolekül (86) wird durch die Ketosynthase (KS) SalC in einer Bicyclisierungsreaktion zum Salinosporamid-Strukturgerüst (87) umgesetzt (Abbildung 19a).

https://eu-central-1.graphassets.com/Aype6X9u2QGewIgZKbFflz/PSLwItiySu8yoKGPxDg2
a) Bicyclisierung in der Biosynthese von Salinosporamid A (87) durch die Ketosynthase SalC. b) Biosynthese der Cyclopropaneinheit in Malleicyprolen durch das Enyzm BurG. c) Biosynthese der Furanolidgrundstruktur (95) durch CybE und CybF. d) Chemoenzymatische Synthese fluorierter Polyketide wie (98) unter Verwendung von Hybrid-PKS-Enzymen.

Hertweck, Groll und Mitarbeiter deckten die Biosynthese des Cyclopropan-Strukturelements auf, das für die biologische Aktivität der Malleicyprole aus Burkholderia sp. verantwortlich ist.49) Die NAD+-abhängige Ketolsäure-Reduktoisomerase BurG katalysiert dabei ausgehend von Gonydiol (88) zunächst die oxidative Bildung eines Mg-stabilisierten Enolats (89) (Abbildung 19b). Die so erzeugte nucleophile Reaktivität ermöglicht eine intramolekulare Cyclisierung zu Cyclopropanol (90) unter C,S-Bindungsspaltung. Abschließende Reduktion liefert den benötigten Baustein (91).

Die Grundstruktur der Naturstoffklasse der Furanolide entsteht durch zwei Enzyme aus den α-Ketocarbonsäuren (92) und (93) und einem Coenzym-A-aktivierten Zimtsäurederivat (94) (Abbildung 19c).50) In der Biosynthese von Cyanobacterin katalysiert das TPP-abhängige Enzym CybE über eine Umpolungsreaktion zunächst die Verknüpfung der α-Ketocarbonsäuren (92) und (93). Die Furanolidsynthase CybF ermöglicht durch Decarboxylierung des daraus enstehenden Intermediats zunächst eine O-Acylierung mit (94); darauf folgt eine C,C-Bindungsknüpfungsreaktion analog einer Morita-Baylis-Hillman-Reaktion mit abschließender 1,4-Hydridwanderung zur Furanolid-Grundstruktur (95).

Grininger und Kollegen synthetisierten mit chemoenzymatischen Methoden fluorierte Derivate bakterieller Polyketidsynthaseprodukte.51) Indem sie hoch substratspezifische Acyltransferase-Domänen (PKS) gegen promiske Malonyl-/Acetyl-Transferasen aus Mäusefettsäuresynthasen austauschten und die resultierenden Hybrid-PKS-Systeme nutzten, ließen sich fluorierte Malonatbausteine in vitro einbauen. So erlaubte beispielsweise der Hybrid-PKS-katalysierte Einbau von (96) in den Thiophenol-aktivierten Baustein (97) mit anschließender Cyclisierung, Deoxymethynolidderivat (98) herzustellen (Abbildung 19d). Dies lässt sich durch weitere Biotransformationen unter anderem zu einem 2-fluorierten Methymycinderivat umsetzen.

Tobias A. M. Gulder, TU Dresden

tobias.gulder@tu-dresden.de

Naturstoffe

Auf dem Campus der Universität des Saarlandes wurde im Boden ein Myxobakterium der Familie Myxococcaceae entdeckt, dessen 16S-RNA-Analyse zusammen mit der biologischen Aktivität des Extrakts neue Naturstoffe versprach. Gefunden wurden die Thiamyxine, thiazolreiche Peptid-Polyketid-Hybride, die antiviral wirken, besonders gegen das Denguevirus DENV-R2A, aber auch gegen das humane pathogene Coronavirus hCoV-229E.52) Es ließen sich 2 mg Thiamyxin B ((99), Abbildung 20) isolieren, und seine Biosynthese ließ sich im Detail klären.

https://eu-central-1.graphassets.com/Aype6X9u2QGewIgZKbFflz/hzLebtsWSLCWUfzXq9Hm
Highlights aus der Naturstoffisolierung.

Auch das Polyketid Iezosid (100) aus dem marinen Cyanobakterium Leptochromothrix valpauliae enthält ein Thiazol. Es erwies sich als wirksam gegen HeLa-Zellen (IC50 6,7 nM).53) Die Cytotoxizität im selten erreichten, einstelligen nanomolaren Bereich basiert auf der Hemmung der Ca2+-ATPase des Sarco/endoplasmatischen Reticulums (SERCA) mit dem besten Ki-Wert (7,1 nM) unter allen marinen Naturstoffen.

In-silico-Vorhersage eines Polyketid-Biosyntheseclusters des halophilen marinen Bakteriums Gynuella sunshinyii führte zur Entdeckung der Janustatine. Diese wirken noch stärker cytotoxisch als Iezosid (IC50 0,3 nM gegen HeLa) und verursachen einen verzögerten Zelltod.54) Man isolierte 0,8 mg Janustatin A (101). Die Aufklärung der relativen Konfiguration stützt sich auf DFT-Rechnungen und T-ROESY-NMR-Experimente. Totalsynthese lieferte die absolute Konfiguration.

Von cyclisierten Triterpenen nahm man bisher an, dass sie grundsätzlich aus dem Triterpen Squalen oder dessen Epoxid entstünden.55) Nun wurde aber mit der Klasse-I-Terpencyclase aus Talaromyces verruculosus, exprimiert in Saccharomyces cerevisiae, ein Enzym identifiziert, das Hexaprenylpyrophosphat zu Triterpenen cyclisiert, hier Talaropentaen (102). Hexaprenylpyrophosphat besteht aus sechs Kopf-Schwanz-verknüpften Isopreneinheiten.

Mikrokristall-Elektronenbeugung (MicroED) war der Schlüssel zur Strukturaufklärung des racemischen Sinamicins C (103), von dem weniger als 0,2 mg Material gewonnen wurden.56) Das Molekül enthält nur wenige Wasserstoffatome, was die Aufklärung durch Standard-NMR-Experimente verhinderte. Sinamicine werden vom α-Proteobakterium Phaeobacter inhibens gebildet, wenn die Mikroalge Emiliania huxleyi blüht und Phenylpropanoide ausscheidet. Diese Bedingungen wurden im Labor simuliert.

Abschließend sei ein chemisches Verfahren erwähnt, das erlaubt, Naturstoffe mit Isonitril-Teilstruktur (104) chemoselektiv zu detektieren.57) Isonitril-Chloroxim-Ligation liefert nur mit Isonitrilen die α-Hydroxyiminoamide (105), die sich leicht massenspektrometrisch detektieren lassen. Man demonstrierte dies an Extrakten aus dem Meeresschwamm Axinella sp. und dem Cyanobakterium Fischerella ambigua.

Thomas Lindel, TU Braunschweig

th.lindel@tu-bs.de

Festphasen- und Flowsynthese

Für die organische Festphasenpeptidsynthese (SPPS) wurde der neue Linker Mmsb (106) vorgestellt (Abbildung 21). Dieser Safety-Catch-Linker ist säure- und basenstabil und wird erst nach Reduktion des Sulfoxids mit Me3SiCl/PPh3 durch Zufügen von Trifluoressigsäure (TFA) gespalten.58) Da die SPPS zunehmend im Kilogrammmaßstab durchgeführt wird, sind die bisher genutzten Standardlösungsmittel DCM, THF oder DMF durch nicht toxische Alternativen zu ersetzen. Wie Burov zeigte, lässt sich 2-Chlorotrityl-Polystyrolharz in einer Mischung von EtOAc/ACN (1:1) in ebenso guten Ausbeuten beladen wie in DCM.59)

https://eu-central-1.graphassets.com/Aype6X9u2QGewIgZKbFflz/2KqLxeiLSPSZqGzH3j5D
Durch SPOS und Flow-Synthese hergestellte Substanzen und Wirkstoffe.

Kobayashi hat einen heterogenen Sn-MCM-41 Katalysator entwickelt, mit dem β-Ketoester via Roskamp-Homologisierung (107) durch Flow-Synthese entstehen (Abbildung 21).60)

Auch in der Biokatalyse werden Flowsynthesen zunehmend angewendet. Pietruszka immobilisierte die 2-Deoxyribose-5-phosphataldolase (Dera) mit einem Halotag und erreichte damit die doppelte Aldoladdition, wobei chirale 3,5-Dihydroxyaldehyde entstehen.61)

Ein Vorteil der Flowsynthese ist, dass sich hochreaktive Intermediate oder instabile Produkte sicher herstellen und weiterverarbeiten lassen. Nagaki synthetisierte durch Elektrolyse in einem Flow-Mikroreaktor Carbokationen, die innerhalb von Millisekunden in folgenden Reaktionen mit Nukleophilen abgefangen werden. Das ermöglicht, Ferrier-Kationen herzustellen (108) und mit Nukleophilen zu Glykosiden umzusetzen.62)

Wegner synthetisierte nichtsymmetrische Azobenzole mit der Baeyer-Mills-Reaktion.63) Die Reaktionsschritte Diazotierung-Azidierung-Cyclisierung in einer Flowreaktion nutzte Lehmann, um 200 g eines fortgeschrittenen Derivats (109) in der Synthese eines TLR7/8-Antagonisten herzustellen. Zur Cu-katalysierten Cyclisierung diente ein Cu-Rohr-Flowreaktor.64)

Luisi erzeugte durch Flowsynthese das hochgespannte Lithium-Derivat von 1-Azabicyclo[1.1.0]butan. Er setzte es mit Halogenketonen um, die unter anderem die bisher unbekannten Oxetan-Derivate (110) liefern.65)

Dass Flowsynthese auch für automatisierte mehrstufige Synthesen taugt, zeigen die Synthese von Tetrahydroprotoberberin-Alkaloiden,66) vom β-Lactamase-Inhibitors Avibactam (111)67) und die enantioselektive Synthese von Rolipram.68)

Eine neue Entwicklung ist die Datenspeicherung in sequenzdefinierten Polymeren, die sich mit Massenspektrometrie auslesen lassen. Kim synthetisierte automatisiert sequenzdefinierte Poly(l-Milch-co-Glykolsäure)n und speicherte sowie decodierte damit ein Bitmap-Bid (896-Bits).69)

Jamison und Jensen kombinierten computerassistierte Syntheseplanung (CASP), Bayes-Optimierung und eine automatische Roboter-Flowsynthese-Plattform, um einen neuen Syntheseweg zu Sonidegib zu erkunden und diesen auf niedrige Kosten und hohe Produktivität zu optimieren.70)

Rolf Breinbauer,

Technische Universität Graz

breinbauer@tugraz.at

Medizinische Chemie

Eine neue Behandlungsoption für Patienten mit Psoriasis vulgaris (Schuppenflechte) eröffnet sich durch den Wirkstoff Deucravacitinib (Markenname Sotyku, Unternehmen Bristol-Myers Squibb). Bei diesem Wirkstoff handelt es sich um einen deuterierten allosterischen Inhibitor der Tyrosinkinase 2 (TYK2) (Abbildung 22). Der kinetische Isotopeneffekt erhöht die metabolische Stabilität und verhindert das Entstehen des primären Amids, das gegenüber anderen Kinasen weniger selektiv ist.71)

https://eu-central-1.graphassets.com/Aype6X9u2QGewIgZKbFflz/aEJV37xPTb6CJP38nfKk
Neu zugelassene Medikamente aus dem Bereich der kleinen Moleküle: Wirkstoff (Markenname).

Mitapivat (Pyrukynd, Agios Pharmaceuticals) ist das erste zugelassene Medikament zur Behandlung hämolytischer Anämie durch Pyruvatkinasemangel, eine Erkrankung bei Neugeborenen. Es erhöht die Pyruvatkinase-Aktivität in den roten Blutkörperchen und normalisiert den Energiehaushalt der Zellen.72)

Bei der HIV-Behandlung ist Lenacapavir (Sunlenca, Gilead Sciences) hervorzuheben. Der Wirkstoff beruht auf der Inhibition des HIV-Kapsid-Proteins, das weniger zum Mutieren neigt als andere HIV-Proteine. Dies erlaubt es, Resistenzbildungen zu unterdrücken und Patienten mit einer multiresistenten Infektion zu behandeln. Zusätzlich ermöglichen die pharmakokinetischen Eigenschaften des Moleküls die Formulierung als Long-Acting-Injectable (subkutane Spritze alle sechs Monate).73)

Tirzepatide (Munjaro, Eli Lilly) ist der erste zugelassene duale GIP/GLP1-Rezeptor-Agonist zur Behandlung von Typ-2-Diabetes-Mellitus. Das 30 Aminosäuren lange synthetische Peptid wird einmal wöchentlich subkutan verabreicht und ist derzeit in klinischen Studien für weitere kardiometabolische Erkrankungen.74)

Im Bereich der Antikörpertherapien ist die Zulassung einer Kombination zweiter Immun-Checkpoint-Inhibitoren bestehend aus Relatlimab und Nivolumab (Opdualag, Bristol-Myers Squibb) für die Behandlung von Patienten mit fortgeschrittenem Melanom hervorzuheben. Während Relatlimab ein Protein auf Immunzellen namens LAG-3 blockiert, ist das bereits zugelassene Nivolumab ein Immuntherapeutikum, das PD-1 blockiert.75)

Mit Betibeglogene Autotemcel (Zynteglo, Bluebird Bio) wurde erstmals eine zellbasierte Gentherapie zugelassen, um Patienten mit transfusionsabhängiger β-Thalassämie zu behandeln (ein Gendefekt, durch den nicht ausreichend Hämoglobin gebildet wird). Dieser lentivirale Vektor wird individuell für jeden Patienten hergestellt und bringt funktionsfähige Kopien des β-Globingens in die Blutstammzellen ein, sodass der Patient genug β-Globin produziert.76)

Christian Kuttruff, Robin Meier,

Boehringer-Ingelheim Pharma

Oligonukleotide

Die bioorthogonale Klickchemie stand im Jahr 2022 durch die Verleihung des Nobelpreises für Chemie an Carolyn Bertozzi, Barry Sharpless und Morten Meldal für grundlegende Beiträge zu ihrer Entwicklung im Fokus. Auch zur chemischen Funktionalisierung von Oligonukleotiden sind bioorthogonale Reaktionen wichtig: Kellet und Kooperationspartner präsentierten einen Zugang zu triplexbildenden Oligonukleotiden (TFOs, triplex-forming ON), die über CuAAC- und SpAAC-Klickchemie mit cis-Platin(II)-Komplexen funktionalisiert sind (Abbildung 23a).77) Diese cis-Platin-TFO-Hybride binden DNA-Duplexsequenzen; Quervernetzung mit dem Platin(II)-Komplex stabilisiert die Triplexstruktur. TFOs bieten das Potenzial, in vivo Genexpression gezielt und direkt auf genomischer Ebene zu hemmen.

https://eu-central-1.graphassets.com/Aype6X9u2QGewIgZKbFflz/dVRfG5urQ5yU6o1rdMxt
a) Cis-Platin-modifizierte Triplex-bildende Oligonukleotide für die Gentherapie. b) [4+2]- und [2+4]-Cycloadditionen an Dien-modifizierten DNA Duplexen. c) Oxepan-Nukleotide. d) Mit 5‘-Cap-Analoga für die mRNA-Synthese lässt sich die Translation synthetischer mRNA in Zellen optisch kontrollieren. e) 2‘-Methoxyethyl-RNA.

Micura und Mitarbeiter machen 2‘-Azid-modifizierte RNA-Oligonukleotide zugänglich, und zwar aus 2‘-Amino-modifizierten Oligonukleotiden über Diazotransfer.78) 2‘-Azid-modifizierte Oligonukleotide ließen sich aufgrund der Reaktion von Phosphor(III)-Spezies mit Aziden bisher nicht über automatisierte Festphasensynthese durch Phosphor(III)-Phosphoramiditchemie herstellen. Die Autoren entwickelten einen postsynthetischen Zugang zu 2‘-Azid-modifizierter RNA, indem sie aminmodifizierte Oligonukleotide mit Fluorosulfurylazid (FSO2N3) diazotierten.

Luedtke und Mitarbeiter berichten über die Reaktivität Dien-modifizierter Duplex-DNA.79) Der Einbau von 5-(1,3-Butadienyl)-2‘-desoxyuridin erlaubt sowohl [4+2]-Cycloadditionen mit normalem Elektronenbedarf mit Maleimiden als auch [2+4]-Cycloadditionen mit inversem Elektronenbedarf, wobei Tetrazinderivate eingesetzt werden (Abbildung 23b).

Bei der Festphasensynthese von DNA und RNA quantifizierten Seio und Mitarbeiter die synthetischen Fehler (Basensubstitution, -einschub oder -löschung), die bei der Synthese langer DNA wie Genomen entstehen können.80) Lange Genomsequenzen werden in Abschnitten über Festphasensynthese hergestellt und anschließend enzymatisch assembliert. Basenmodifizierte Nukleoside in der Festphasensynthese reduzieren Sequenzfehler.

Micura und Kooperationspartner synthetisierten 1-Deazaguanosin (c1G), das entsprechende Phosphoramidit und c1G-modifizierte RNA.81) c1G ist ein wichtiger Nukleotidbaustein, um RNA-Erkennung und Katalyse auf atomarer Ebene zu untersuchen.

Schwalbe und Heckel berichten über die chemoenzymatische Synthese eines lichtaktivierbaren tRNA-Derivats.82) Die Kombination von RNA-Festphasensynthese mit enzymatischen Ligationsstrategien an Streptavidinpartikeln erlaubt, lichtsteuerbare RNA-Nukleotide in tRNA-Sequenzen einzubauen.

Pradeepkumar und Damha haben neue zuckermodifizierte Nukleosidanaloga entwickelt.83) Oxepanbasierte Nukleoside wurden via Festphasensynthese in Oligonukleotide eingebaut und so chimäre DNA- und RNA-Oligonukleotide mit Oxepannukleotiden erzeugt (Abbildung 23c). Es wurde untersucht, wie diese die Struktur und die Thermostabilität doppelsträngiger DNA, RNA und RNA-DNA-Hybride beeinflussen.

Die Gruppen um Marx und Srivatsan haben fluoreszente Nukleotide aus Benzofuran, Benzothiophen und Selenophenderivaten vorgestellt, die sich als fluoreszenzbasierte Sensoren eignen, um die DNA-Polymeraseaktivität zu untersuchen.84)

Höbartner und Mitarbeiter nutzen die Interaktion zwischen Tolan (THH) und Perfluorotolan (TFF), um in Duplex-DNA ein Basenpaar durch ein THH/TFF-Heteropaar zu ersetzen.85) Eine mögliche Anwendung ist der programmierte Aufbau supramolekularer DNA-Nanostrukturen.

Bei diagnostischer und therapeutischer Anwendung modifizierter (Oligo-)Nukleotide visualisieren die Gruppen um Purse und Kleiner die Dynamik zellulärer RNA, indem sie fluoreszente bicyclische und tricyclische Cytidinanaloga nutzen, die sich metabolisch in zelluläre RNA einbauen lassen.86)

Rentmeister und Mitarbeiter synthetisierten neue 5‘-Cap-Analoga für die mRNA-Synthese (IVT), die photospaltbare Gruppen tragen (Abbildung 23d).87) Diese Flash-Caps ermöglichen, die Translation von IVT-mRNA in Zellen durch Licht zu kontrollieren, und eignen sich womöglich zur Weiterentwicklung von mRNA-Therapeutika.

Ein Durchbruch in der Verbesserung von RNA-Polymerasen zur Herstellung von mRNA-Therapeutika kommt von Moore und Rabideau: Sie berichten über eine T7-RNA-Polymerase-Variante, mit der sich mRNA-Transkripte nahezu frei von immunstimulierenden Nebenprodukten wie doppelsträngiger RNA herstellen lassen.88) Diese verbesserte T7-RNA-Polymerase könnte sich zur Anwendung in der Synthese von mRNA-Therapeutika eignen. In einem ähnlichen Ansatz veränderten die Arbeitsgruppen um Herdewijn und Holliger eine RNA-Polymerase derart, dass diese die effiziente enzymatische Synthese von 2‘-O-Methyl-RNA (2‘-OMe-RNA) und 2‘-O-2‘-Methoxyethyl-RNA (MOE-RNA) erlaubt (Abbildung 23E).89) Solche 2‘-modifizierten RNA-Olionukleotide werden für Diagnostik und Therapie genutzt und waren bisher nur über automatisierte Festphasensynthese zugänglich.

Zur prebiotischen Chemie berichten die Gruppen um Gerland und Richert über die enzymfreie Synthese eines komplementären RNA-Strangs mit Dinukleotid-Bausteinen.90) Ihre Arbeit gibt einen Einblick in mögliche selbstreplizierende Systeme auf der frühen Erde, die auf RNA als genetischem Material basieren.

Carell und Mitarbeiter gingen der Frage nach, wie eine RNA-basierte in eine Proteinwelt übergegangen sein könnte. Wie sie zeigen, lassen sich nichtkanonische RNA-Basen – heutzutage in tRNA und ribosomaler RNA zu finden – in RNA mit Aminosäuren oder kurzen Peptiden dekorieren.91) Es entstehen peptidmodifizierte RNA-Moleküle, die auf die Existenz einer RNA-Peptid-Welt im Verlauf der Evolution von proteinbasierten Katalysatoren hindeuten.

Stephanie Kath-Schorr,

Universität Köln

skathsch@uni-koeln.de

Peptide

Peptide werden häufig mit Fmoc/tBu-basierter Festphasenpeptidsynthese hergestellt. Zur Amidbindungsbildung werden neben dem Kupplungsreagenz stöchiometrische Mengen Kupplungsadditiv genutzt, für die Abspaltung der Fmoc-Schutzgruppe viel sekundäre Aminbase (üblicherweise: Piperidin/DMF (1:4, v/v)) und das dipolar aprotische Lösungsmittel DMF. Diese Faktoren machen den gesamten Prozess wenig nachhaltig. Hier setzen die Arbeiten von Pawlas und Rasmussen an, welche die Fmoc/tBu-basierte Festphasenpeptidsynthese unter den Gesichtspunkten grüner Chemie optimieren wollen.92) Wie sie zeigen, läuft die Kupplungsreaktion mit 1,1 Äquivalenten Fmoc-Aminosäure in Gegenwart von DIC schon mit nur drei Molprozent 1-Hydroxy-1,2,3-triazol-5-carbonsäureethylester (HOCt) als Additiv, und das epimerisierungsfrei. Zudem lässt sich die Fmoc-Schutzgruppe bereits mit 15 Molprozent DBU abspalten. Und DMF lässt sich vollständig durch N-Butylpyrrolidon (NBP)/Ethylacetat (1:4, v/v) ersetzen. Mit diesem nachhaltigen Syntheseprotokoll haben die Autoren das Modellpeptid Fmoc-FEKAG-NH2 mit einer HPLC-Reinheit von 95 % hergestellt (Abbildung 24).

https://eu-central-1.graphassets.com/Aype6X9u2QGewIgZKbFflz/0csbiOwSbWU4phjw79PP
Organokatalytische Festphasensynthese von Fmoc-FEKAG-NH2.

In der Fmoc/tBu-basierten Festphasenpeptidsynthese dient zur Synthese disulfidbrückenreicher Peptide üblicherweise eine Kombination der orthogonalen Thiolschutzgruppen Trt, Acm und Mob. Zoukimian et al. haben jetzt als Ergänzung dazu die 2-Hydroxy-4-methoxybenzyl(Hmb)-Gruppe untersucht.93) Fmoc-Cys(Hmboff)-OH (112) dient dabei dem Einbau des Cysteinpaars in die Peptidkette, das mit diesem Schutzgruppenregime über eine Disulfidbrücke verknüpft werden soll (Abbildung 25). Die Säurelabilität dieser Schutzgruppe lässt sich über die reversible Acylierung der 2-Hydroxyfunktion steuern. Die Schutzgruppe liegt deshalb zunächst jeweils in der Hmboff-Form (113) vor. Diese trägt eine Boc-Schutzgruppe, um die sekundäre Aminofunktion während der Peptidsynthese zu blockieren. Bei der Abspaltung des Peptids vom Harz und dessen gleichzeitiger Globalentschützung wird auch diese entfernt, wobei die eigentliche Hmboff-Form (114) entsteht, die dann unter neutralen Bedingungen in wässrigem Puffer in die säurelabile Hmbon-Form (115) übergeht. Diese lässt sich mit TFA abspalten und liefert das Cysteinpaar für den Disulfidbrückenbildungsschritt. Das Potenzial der Hmboff/on-Schutzgruppe zeigte sich bei der Synthese des Peptids Phlotoxin-I, das 34 Aminosäuren und drei Disulfidbrücken hat. Alternativ zur Trt/Acm/Mob-Strategie gelingt die Synthese von Phlotoxin-I nämlich über eine Trt/Hmboff/on/Acm- sowie Trt/Hmboff/on/Mob-Strategie.

https://eu-central-1.graphassets.com/Aype6X9u2QGewIgZKbFflz/ZkHF1FZdQ5qrwqFfYiSw
Chemische Struktur von Fmoc-Cys(Hmboff)-OH (112) und Entschützungsschema der Hmboff/on-Thiolschutzgruppe.

Synthesen, die es erlauben, ungeschützte Peptide zu cyclisieren, sind wichtig für die Wirkstoffforschung. Vanjari et al. haben jetzt einen methodisch neuen Ansatz ausgearbeitet (Abbildung 26).94) Voraussetzung für die Cyclisierung: Die C-terminale Aminosäure des Peptids muss N-propargyliert sein ((116), Abbildung 26). Der Makrocyclus bildet sich dann durch eine AuI-katalysierte regioselektive Markownikoff-Addition der terminalen Amino-Funktion an die C–C-Dreifachbindung der Propargylgruppe. Das an der Verknüpfungsstelle entstandene Imin (117) wird durch Hydridreduktion, die auch stereoselektiv geführt werden kann, zu einem stabilen Amin (118). Als Demonstrationsobjekte dienten 35 Peptide unterschiedlicher Aminosäuresequenz und Länge, deren Cyclisierung innerhalb von 30 bis 60 min abgeschlossen ist. Dabei entstehen die cyclischen Peptide (118) in Ausbeuten von 56 bis 94 %.

https://eu-central-1.graphassets.com/Aype6X9u2QGewIgZKbFflz/83bxSWv4QaiqbAv0lnyf
Gold(I)-vermittelte Cyclisierung des propargylierten Peptids (116).

Norbert Schaschke,

Hochschule Aalen

Norbert.Schaschke@hs-aalen.de

Kohlenhydrate

Im Jahr 2022 gab es wieder einen Rekord in der Synthese der bisher größten definierten Kohlenhydratstruktur. Die Arbeitsgruppe von Ye stellte ein 1080-mer-Arabinan durch mehrere Sequenzen von Eintopf-Multikomponenten-Glykosylierungen her, in deren letztem Schritt drei 360-mere verknüpft wurden (Abbildung 27a).95) Die Präzision für diese Glykosylierungsreaktionen wurde durch einen dafür konstruierten automatisierten Synthesizer erreicht: Darin werden die Glycosyldonor-Bausteine präaktiviert, um anschließend sequenziell zu Oligosacchariden zu reagieren. Die breite Einsetzbarkeit der Methode bestätigen die synthetisierten komplexen Oligosaccharide wie humane Blutgruppenantigene, Tumor-assoziierte Antigene und das gerinnungshemmende Fondaparinux-Pentasaccharid.

https://eu-central-1.graphassets.com/Aype6X9u2QGewIgZKbFflz/mn64E1fuQHKSRls80aWr
a) Synthese eines 1080-mer-Arabinans durch automatisierte präaktivierungsbasierte Multikomponenten-Reaktionen. b) Photokatalytische Synthesesequenz zur Darstellung eines Desoxyglykosids mit 20 α-glykosidischen Bindungen. c) Milde und stereoselektive Glykosylierung durch lichtinduzierte radikalische Aktivierung von Sulfonsäuredonoren. d) Untersuchungen von C4-Remote-participation-groups in Galaktose und Design eines Donors für α-selektive Glykosylierungen.

Verstärkt war im Jahr 2022 der Einsatz von Photochemie in der Kohlenhydratsynthese zu beobachten. So glykosylierte ebenfalls Yes Arbeitsgruppe lichtinduzierte Alkohole mit Glycalen, wobei ein durch blaue LEDs aktivierter Iridiumphotokatalysator zum Einsatz kam.96) Diese Glykosylierungsmethode ermöglicht, 2-Deoxyglykoside hochstereoselektiv herzustellen, etwa den biologisch aktiven Naturstoff Digoxin sowie ein Oligosaccharid mit 20 α-2-desoxyglykosidischen Bindungen, das durch iterative Additionen eines Pentasaccharid-Donors an ein Pentasaccharid-Akzeptor aufgebaut wurde (Abbildung 27b).

Die Arbeitsgruppen um Houk und Niu entwickelten geleitet durch Computerchemie eine neue milde Glykosylierungsmethode, die ohne Metallionen, Säuren, komplexe Katalysatoren oder labile Substrate auskommt. Sie produziert unabhängig von der Konfiguration an C2 des Donors selektiv 1,2-cis-glykosidische Bindungen.97) Die Reaktion verläuft über eine lichtinduzierte Radikalkaskade, in der durch zwei Einelektronentransfers Glykosyliodide entstehen, die anschließend durch Substitutionsreaktionen in die Produkte übergehen (Abbildung 27c). Dabei dirigieren einfache C2-Alkoxygruppen die Nukleophile auf dieselbe Seite und führen zur selektiven Bildung von 1,2-cis-Glykosiden.

Eine selektive stereokontrollierte Glykosylierung minimal geschützter Monosaccharide mit bis zu drei freien Hydroxygruppen kommt von der Gruppe Jacobsen, die dazu Glykosylphosphate mit präzise designten Organokatalysatoren aktivierte.98) Wie kinetische und Computerchemie-gestützte Studien zeigen, entsteht die Regioselektivität durch stabilisierende C-H/π-Interaktionen.

Einen tieferen Einblick in den Mechanismus der „remote participation“ in Galaktosedonoren lieferten die Gruppen von Pagel und Seeberger: Sie erklären mit kryogener Infrarotspektroskopie sowie DFT-Rechnungen und nasschemischen Experimenten den Effekt verschiedener C4-Schutzgruppen und entwickelten darauf basierend einen effizienten Galaktosedonor für α-selektive Glykosylierungen (Abbildung 27d).99)

Die Synthese komplexer Oligosaccharidstrukturen wird auch in den nächsten Jahren eine Herausforderung bleiben. Der Arbeitsgruppe Jin stellte ein Undecasaccharidfragment des Lipopolysaccharids (LPS) von Helicobacter pylori her, das als Kandidat zur Entwicklung eines Glykokonjugatimpfstoffs dienen soll.100) Die besonderen Herausforderungen für die Synthese resultierten aus der Präsenz fünf verschiedener Monosaccharide (inklusive drei verschiedener „high carbon sugars“), fünf 1,2-cis-Verknüpfungen und einer großen sterischen Hinderung (Abbildung 28).

https://eu-central-1.graphassets.com/Aype6X9u2QGewIgZKbFflz/qQYc1s9ZRVqGjTNcf6rg
Chemisch synthetisiertes Oligosaccharid aus der H.-pylori-LPS-Kernstruktur.

Fabian Pfrengle,

Universität für Bodenkultur Wien

fabian.pfrengle@boku.ac.at

Porphyrine

Modifizierungen des makrocyclischen Systems stehen weiterhin im Vordergrund der Porphyrinchemie. So lieferte die Rhodium-katalysierte [5+2]-Anellierung von NiII(5-(Pyrrol-2-yl)porphyrinen (116) mit Alkinen Siebenring-fusionierte Produkte (117) (Abbildung 29a).101) Porphyrinoide mit einer Dreifachbindung im aromatischen 18π-Elektronensystem (119) entstehen dagegen durch eine Abbaureaktion des AgIII-Porphyrins mit invertiertem Pyrrolring (118) (Abbildung 29b).102) Schlüsselschritt ist hierbei die Reaktion von LiOH mit der externen C–N-Doppelbindung.

https://eu-central-1.graphassets.com/Aype6X9u2QGewIgZKbFflz/dkknwlSTGCDtgu8T94F5
a) Rhodiumkatalysierte [5+2]-Anellierung von Nickel(II)-Pyrrolylporphyrinen; b) Darstellung eines 18π-Porphyrinoids (119) mit interner Dreifachbindung.

Eine erste schrittweise Synthese acetylenverbrückter Porphyrin-Multiblock-Cooligomere basiert auf defluorinierender Kupplung trifluormethylsubstituierter Porphyrine auf Goldoberflächen.103) Zunächst wurde das Anthrazenporphyrin (120) auf Au(111) sublimiert. Anellierung bei 373 K fusioniert die Anthrylreste mit dem Porphyrin (121), während Anellierung bei 483 K C–C-Dreifachbindungsverknüpfte Oligomere (122) liefert (Abbildung 30). Die Oligomere behalten die terminalen CF3-Gruppen, sodass sich Heterooligomere auch schrittweise herstellen lassen.

https://eu-central-1.graphassets.com/Aype6X9u2QGewIgZKbFflz/jQUfbIefQloavCGvXPdv
Oberflächensynthese acetylenverbrückter Porphyrinoligomere (122).

Kronenether und Porphyrin haben Szyszk und Mitarbeiter im Crownphyrin (123) kombiniert. Es entsteht durch einfache Reaktion von Dipyrrindialdehyden mit die Etherkette enthaltenden Diaminen.104) Die porphyrin- und kronenetherartigen Hälften binden neutrale und ionische Gäste (Abbildung 31). Auch Bodipy-Einheiten eignen sich zur Bindung von Gästen. So reagiert 3-Amino-5-brom-Bodipy unter Buchwald-Hartwig-Aminierungsbedingungen zu cyclischen Bodipy-Oligomeren (124). Oxidation in Gegenwart von Alkalimetallionen liefert dann die entsprechenden expandierten Azaporphyrine mit – je nach Größe – ein oder zwei von den BF2-Einheiten gebundenen Ionen.105)

https://eu-central-1.graphassets.com/Aype6X9u2QGewIgZKbFflz/mZcZViPhThaJLPqAbQdA
Neue Porphyrinoide im Jahr 2022: Crownphyrine (123) und expandierte Azaporphyrine (124).

Mathias O. Senge, Trinity College Dublin, University of Dublin

sengem@tcd.ie

Organische Materialien und Nanostrukturen

Neutrales Triangulen ((125a), (125b)) haben zwei unabhängige Forschungsverbünde als kinetisch stabiles Diradikal hergestellt und kristallisiert. Es liegt im Grundzustand als Triplett vor, was eine seit den 50-er Jahren offene Frage bezüglich des Spinzustands dieses Nicht-Kekulé-Kohlenwasserstoffs klärte (Abbildung 32).106,107) Entsprechend haben Shimizu et al. ein Bis(dibenzocyclohepta)benzol (126) als Triplett-Diradikal der Klasse der Kekulé-Kohlenwasserstoffe synthetisiert.108)

https://eu-central-1.graphassets.com/Aype6X9u2QGewIgZKbFflz/oE0CVTifQbqIjGmySuDq
Triangulen und Bis(cyclohepta)benzol jeweils als Triplett-Diradikal, Perfluorcuban als Anion und Multilagenstapelung einer polyaromatischen Nanoscheibe mit Coronen.

Perfluorcuban (127) haben Akiyama und Mitarbeiter:innen als neutrales und als einfach reduziertes Anion hergestellt.109) Die antibindenden σ*-Orbitale der C–F-Einfachbindung sind in das Zentrum des Cubangerüstes gerichtet, wo sich das Elektron der anionischen Spezies lokalisieren lässt.

Eine polyaromatische Scheibe (128) kommt von Würthner und Mitarbeiter:innen aus einer palladiumkatalysierten Annelierungskaskade aus 1,3,6,8-Pyrentetraboronsäureester und 4,5-Dibromnaphthalinimid.110) Die N-Arylreste der Imide zeigen orthogonal über und unter den Scheibenäquator, wodurch eine Bindungstasche erschlossen wird. In Lösung werden molekulare Gäste, wie Coronen aufgenommen, während sich im kristallinen Festkörper Stapelungen der Scheiben mit jeweils zwei interkalierten Coronen-Gästen zwischen den Lagen zeigt.

γ-Graphin (129) gilt als Kohlenstoffallotrop, das stabiler und leitfähiger ist als Graphen (Abbildung 33). Jedoch kommt es nicht natürlich vor und ließ sich bislang nicht defektfrei herstellen. In einem dynamisch-reversiblen Alkin-Metatheseansatz synthetisierten Zhao, Zhang und Mitarbeiter:innen kristallines γ-Graphin aus einem Hexakis(arylethinyl)benzol und Hexakis(methylethinyl)benzol.111) Die Kohlenstofflagen des zweidimensionalen Materials sind in einer gestaffelten ABC-Anordnung gestapelt und lassen sich wie bei Graphen schichtenweise abtragen. Ein molekulares Fragment des γ-Graphin haben Wu und Mitarbeiter:innen in Form eines Speichenrads (130) hergestellt, und zwar durch cobaltkatalysierte Cyclotrimerisierung.112)

https://eu-central-1.graphassets.com/Aype6X9u2QGewIgZKbFflz/FJlMYa3dTw2hF5GYpZdz
Oben links: γ-Graphin und molekulares Graphin-Speichenrad; oben rechts: Möbius-Kohlenstoffnanogürtel; unten: gerüstartige Imin-Nanoröhre.

Einen vollständig annellierten Kohlenstoffnanogürtel mit Möbius-Topologie (131) haben Segawa, Itami und Mitarbeiter in 14 Stufen synthetisiert.113) Wie Moleküldynamikrechnungen und Kernspinresonanzspektren zeigen, wandert das Inversionsmotiv des Bands dynamisch durch den Gürtel. Trennen ließen sich die topologischen Enantiomere mit chiraler Hochleistungsflüssigkeitschromatographie.

Dynamisch-reversible Iminkondensation kommt üblicherweise bei der Herstellung kovalent-organischer Gerüstverbindungen zum Einsatz. Mit der Methode stellten Pavan, Banerjee und Mitarbeiter:innen eine gerüstartige Iminnanoröhre (134) her.114) Die Substrate sind ein Trypticentetramin (132) und ein Terephthalaldehyd (133); sie müssen in einer 1:2-Stöchiometrie eingesetzt werden, um die Röhren zu erhalten. Mikroskopieaufnahmen belegen die Bildung von Tori und Schleifenbündeln.

Oliver Dumele,

Humboldt Universität Berlin

oliver.dumele@hu-berlin.de

Flüssigkristalle

Auch im Jahr 2022 wurden die besonderen Eigenschaften der Flüssigkristalle genutzt, um funktionelle Materialien zu erzeugen (Abbildung 34).115) So hängt Borneman und Mitarbeiter:innen zufolge der Gastransport durch flüssigkristalline Membranen von der molekularen Ordnung der Membran ab. Die Autor:innen polymerisierten den methacrylatfunktionalisierten Kronenether (135a) mit dem smektischen Diacrylat-Monomer (135b) und erhielten so freistehende Polymermembranen mit einer smektischen Morphologie (smektisch C). Wie Gaspermeabilitätsstudien zeigen, beeinflusst das Verhältnis der Monomere die Durchlässigkeit für Gase (He, CO2, Ar, N2), und ein hoher Anteil (ab 30 Gewichtsprozent) des Kronenethers (135a) erhöht die selektive Permeabilität für CO2. Nach temperaturabhängigen Studien lassen die Membranen bei Temperaturen über Glasübergangstemperatur mehr Gas durch als im Glaszustand. Dies belegt die Relevanz der smektischen Anordnung für einen effektiven Gastransport durch die Membranen und zeigt das Potenzial für die Entwicklung smarter Membranen.

https://eu-central-1.graphassets.com/Aype6X9u2QGewIgZKbFflz/YViQNQytSimYNgQBXwJn
Molekulare Strukturen der Acrylat-Monomere zur Herstellung flüssigkristalliner Polymermembranen (135), selbstheilender Elastomere (136) und photonischer 3-D-Druckmaterialien (137).

Ein weiterer Fokus bei flüssigkristallinen Polymeren bleibt die Forschung an photonischen Materialien. Wang und Feng präsentierten hier ein neues flüssigkristallines Elastomer mit cholesterischer Ordnung.116) Das Elastomer erhielten sie, indem sie das chirale Flüssigkristallmonomer (136a) mit dem Acrylat (136b), einem thiolbasierten Spacer (136c) und Vernetzer (136d) copolymerisierten. Das spannende an den Polymeren sind die implementierten dynamisch-kovalenten Boronsäureester (136e), die den Polymeren die Möglichkeit der Selbstheilung und ein programmierbares Formgedächtnis verleihen. Durch Temperaturänderung sowie Dehnung lässt sich die Reflexionswellenlänge der Proben reversibel manipulieren, was die Materialien interessant für Anwendungen in adaptiver Optik macht.

Bei der additiven Fertigung sind Flüssigkristalle wichtige molekulare Bausteine, um smarte 3-D-Materialien (4-D-Materialien) herzustellen.117) Im Jahr 2022 entwickelten Debije und Mitarbeiter:innen ein cholesterisches, flüssigkristallines Oligomer, das sich als 3-D-Druckmaterial eignet, da dabei die flüssigkristallinen Acrylateinheiten (137a) und (137b) polymerisieren. Durch die Einführung des aminbasierten Monomers (137c) reagieren die photonischen Materialien reversibel auf die Gegenwart von Wasser. Dazu werden die Polymerfilme mit wässriger Salzsäurelösung aktiviert und eignen sich dann als Feuchtigkeitssensor. Im protonierten, trockenen Zustand erscheinen die Polymerfilme grün, im nassen Zustand reflektieren sie rot.

Ein Konzept, um die Dynamik von Iminbindungen in niedermolekularen Flüssigkristallen zu nutzen, haben Blanke et al. vorgestellt (Abbildung 35).118) Die Eigenschaften der iminbasierten Flüssigkristalle lassen sich mit Iminaustausch und -metathese in der Schmelze manipulieren, und auch neue Eigenschaften wie Fluoreszenz sind möglich, wenn in den Iminen dieAldehydkomponente durch Salicylaldehydderivate (138b) ausgetauscht werden. Hierdurch ergibt sich die Möglichkeit, adaptive Materialien zu entwickeln und durch Hydrolyse der Imine die Aldehyd- und Aminbausteine zu recyclen.

https://eu-central-1.graphassets.com/Aype6X9u2QGewIgZKbFflz/ruW1JQrCQYa6ccaLz1mq
Repräsentatives Beispiel für Iminaustausch zur Entwicklung dynamisch-kovalenter Flüssigkristalle (138). Molekulare Strukturen der Molybdäncluster (139a) und der guanidiniumbasierten Minidendrone (139b) sowie der Sternmesogene mit kovalent und wasserstoffbrückengebundenen Blatter-Radikalen ((140a) beziehungsweise (140b)). Grundstruktur der ferroelektrischen Nematogene (141) aus der Studie von Mandle et al.

Ein Joint Venture aus anionischen Molybdän-Clustern und kationischen Minidendronen haben Lehmann, Molard und Laschat vorgestellt.119) Die Hybridmaterialien kombinieren die Lumineszenz oktaedrischer Molybdäncluster-Anionen (139a) mit der Flüssigkristallinität guanidiniumbasierter Minidendronen (139b). Während die Minidendrone als Chloridsalze bevorzugt kolumnare Phasen bilden, bilden sie in Anwesenheit der Clusteranionen smektische Mesophasen (SmA). In Hinblick auf die Lumineszenzeigenschaften der Hybridmaterialien ist anders als beim Cäsiumsalz des Clusters die Emissionsintensität temperaturabhängig. Zudem beeinflusst die Alkylkettenlänge am kationischen Minidendron die Emissionsauslöschung durch Sauerstoff. Bei den Hybridmaterialien mit längerer Alkylkette ist die Auslöschung der Emission verzögert, was der geringeren O2-Durchlässigkeit zugeschrieben wurde.

Lambov et al. untersuchten die paramagnetischen Eigenschaften formstabiler Sternmesogene. Dazu wurden die Mesogene kovalent (140a) oder über Wasserstoffbrücken (140b) mit Blatter-Radikalen funktionalisiert und auf ihre magnetischen Eigenschaften untersucht.120) Insbesondere die Wasserstoffbrücken-gebundenen Assemblate erscheinen aufgrund der Kombination der niedrigen Klärtemperatur und der paramagnetischen Eigenschaften des Blatter-Radikals vielversprechend, um funktionale Materialien mit regelbaren magnetischen Eigenschaften zu entwickeln.

Eine grundlegende Studie zu ferroelektrischen nematischen Phasen widmet sich dem Urspung dieser erst kürzlich entdeckten flüssigkristallinen Phase.121) Mit ihren molekular dynamischen Simulationen tragen Mandle et al. entscheidend zum Verständnis der Struktur-Eigenschaftsbeziehungen ferroelektrischer Nematogene (141) bei und machen einen wichtigen Schritt in Richtung Anwendung.

Michael Giese,

Universität Duisburg-Essen

michael.giese@uni-due.de

Agrochemie

Bei den Fungiziden wurden im Jahr 2022 keine geplante Entwicklung und kein neuer ISO-Name bekannt gegeben. Dennoch zeigen die offengelegten Patentanmeldungen, dass die chemische Industrie nach wie vor intensiv an neuen Wirkstoffen forscht, um Schadpilze zu kontrollieren. Um neue Fungizide zu identifizieren, wird generell auf zwei Strategien zurückgegriffen: die Erforschung neuer Wirkmechanismen und die Optimierung bestehender Fungizidklassen, um die Anwendungsbreite zu erhöhen und/oder dem Auftreten resistenter Pilzstämme entgegenzuwirken.122)

In den vergangenen Jahren sind einige Fungizide mit neuen molekularen Targets gefunden und entwickelt worden (Abbildung 36). Beispiele sind Aminopyrifen (142a), Flufenoxadiazam (142b), und Ipflufenoquin (142c). Während das Pyridinfungizid (142a) in die Glycosylphosphatidylinositol-Biosynthese (GPI) eingreift und vorwiegend gegen Grauschimmel wirkt,123) inhibiert das Oxadiazolfungizid (142b) das Enzym Histondeacetylase (HDAC) und wird zur Kontrolle von Rostpilzen entwickelt.124,125) Keins dieser beiden Zielenzyme wurde bisher von Agrochemikalien inhibiert. Das molekulare Target, das vom Chinolinfungizid (142c) gehemmt wird, wurde noch nicht veröffentlicht.126) Wie Untersuchungen zur Kreuzresistenz mit anderen Fungiziden nahelegen, handelt es sich hierbei ebenfalls um einen neuen Wirkmechanismus. (142c) wirkt besonders gegen den Reisbrandpilz und ist bereits in Japan zugelassen.

https://eu-central-1.graphassets.com/Aype6X9u2QGewIgZKbFflz/4HMUvJM2RL2BKK67S4u3
Strukturen der besprochenen Fungizide.

Durch die Entstehung resistenter Pilzstämme verlieren Fungizide mit der Zeit einen Teil ihrer Wirkung. Um dem entgegenzuwirken, entwickeln Forschende Fungizide mit etablierten Wirkmechanismen kontinuierlich weiter und passen sie den mutierten Schadpilzen an. Ein Beispiel für eine solche Weiterentwicklung ist Metyltetraprol (142d): ein Strobilurin, zu dessen Substanzklasse auch Pyraclostrobin (142e) gehört. Strobilurine dienen seit Jahren etwa der Bekämpfung der Septoria-Blattdürre. Aufgrund einer Mutation im Zielenzym (bc1-Komplex der Atmungskette) verloren die meisten Strobilurine jedoch stark an Wirksamkeit gegen diesen Schadpilz. In diesem Fall wurde ein Glycin im bc1-Komplex zu einem Alanin mutiert (G143A-Mutation), wodurch in der Bindetasche weniger Platz für den Inhibitor ist. Durch geschicktes Design ließ sich die Struktur von Pyraclostrobin jedoch zu Metyltetraprol (142d) weiterentwickeln, das nicht mehr von dieser Mutation betroffen ist. (142d) wirkt somit sehr gut gegen den Verursacher der Blattdürre; es befindet sich momentan in der Entwicklung.127)

Insgesamt sechs neue insektizide Wirkstoffe wurden im Jahr 2022 bekannt gemacht. Die beiden Isoxazoline Umifoxolaner (143a) und Mivorilaner (143b) sind von den Firmen Merial und Eli Lilly entdeckt worden und werden jeweils von den Firmen Boehringer Ingelheim und Elanco entwickelt (Abbildung 37). Der entsprechende Wirkstoff liegt als (5S)-Isomer am Isoxazolinring vor und dient dazu, Zecken an Hunden zu kontrollieren.128,129) Er soll durch eine orale Gabe oder als Injektion in das Fettgewebe des Tiers wandern, wo die blutsaugenden Ektoparasiten ihn mit einem Biss aufnehmen, was sie tötet.130) Wegen der Ähnlichkeit ihrer Struktur mit der des bekannten Afoxolaners dürften die beiden Isoxazoline gleichfalls allosterische Modulatoren des Gaba-Rezeptors sein.

https://eu-central-1.graphassets.com/Aype6X9u2QGewIgZKbFflz/tQ2byVCpTdyqfkbRBceQ
Strukturen der besprochenen Insektizide.

Forschende der Firma Mitsui aus Japan haben den Wirkstoff Modoflaner (143c) entdeckt.131) Er hat eine ähnliche Struktur wie der bekannte Wirkstoff Broflanilid, liegt jedoch nicht in seiner N-methylierten Pro-Form am westlichen Amid vor, sondern als wirksames freies Amid. Auch dieser Wirkstoff wirkt als allosterischer Modulator des Gaba-Rezeptors und dient wie die zuvor beschriebenen Isoxazoline ebenfalls der Kontrolle von Ektoparasiten an Säugetieren nach oraler Darreichung.132)

Die chinesische Firma Zhejiang Udragon Bioscience hat zusammen mit der Universität Qingdao den Wirkstoff Tiorantraniliprol (143d) entdeckt.133–135) Die Struktur der Verbindung ähnelt der der bekannten Wirkstoffe Chlorantraniliprol und Cyclaniliprol, trägt jedoch im Bereich des südlichen Amids ein Thioamid. Tiorantraniliprol (143d) moduliert den Ryanodinrezeptor und dient dazu, beißende Insekten in Obst- und Gemüsekulturen zu kontrollieren. Bislang wurde der Wirkstoff nur in China zum Patent angemeldet, daher dürfte die Verwendung für diesen Markt vorgesehen sein.

Die Universität Qingdao aus China hat außerdem den Wirkstoff Spirobudifen (143e) entdeckt, er wird zusammen mit der chinesischen Zhejiang Udragon Bioscience entwickelt.135,136) Auch hier gibt es bislang nur chinesische Patentanmeldungen. Der Wirkstoff gehört zur Klasse der Tetronsäuren und hemmt – nach Überführung der Carbonat-Pro-Form in das freie Keto-Enol – die Acetyl-CoA-Carboxylase von Insekten. Über das Spektrum ist noch wenig bekannt. Es ist jedoch denkbar, dass Spirobudifen (143e) wie der strukturverwandte Wirkstoff Spirodiclofen zur Kontrolle von Milben in Obst und Gemüse eingesetzt wird.

Das Strobilurin Flupyroxystrobin (143f) zur Kontrolle von Pilzkrankheiten, Insekten und Nematoden wurde ursprünglich im Jahr 1987 von der Firma Imperial Chemical Industries patentgeschützt.137) Dass er sich zur Vektorkontrolle von Stechmücken eignet, hat jedoch erst die Firma Syngenta erkannt, die diesen aus der Fungizidforschung stammenden Wirkstoff entwickelt.138) Die Strobilurine wirken im Pilz und im Insekt dadurch, dass sie die Atmungskette am bc1-Komplex hemmen. Sollte Flupyroxystrobin (143f) Marktreife erreichen, wäre es das erste Strobilurin zur Insektenkontrolle.

Bei den Herbiziden wurden gleich fünf neue ISO-Namen fürWirkstoffe der chinesischen Firma Kingagroot veröffentlicht.139) Kingagroot wurde im Jahr 2009 gegründet.140) Die Forschung fokussiert sich dabei weiterhin auf die Entwicklung von Verbindungen mit bekanntem Wirkmechanismus und zeichnet sich durch nur geringe Strukturabwandlung bekannter Herbizide aus.141) Zum Beispiel unterscheidet sich Broclozone (144a) von dem Marktprodukt Bixlozone ((144b); FMC) nur an einer Position des Moleküls: In 2-Stellung des aromatischen Rings ist das Chloratom gegen Brom getauscht (Abbildung 38).142)

https://eu-central-1.graphassets.com/Aype6X9u2QGewIgZKbFflz/YlA4dHLcTj68Z2QkK1lN
Strukturen der besprochenen Herbizide.

Mit Fluchloraminopyr (144c) setzt sich die Reihe enger Strukturvariationen bei Kingagroot fort. Dieses Entwicklungsprodukt hat nur eine Methylgruppe mehr als Fluroxypyr (144d), aus Hydroxy-Essigsäure wird Hydroxy-Propionsäure. Beide Säuren sind bekannte Strukturelemente der synthetischen Auxine und kommen als Derivate in vielen Marktprodukten vor.

Ein weiteres Beispiel ist Pyriflubenzoxim (144e), eine Verbindung aus der Klasse der Acetolactatsynthase-Hemmer (ALS). (144e) unterscheidet sich kaum von Pyribenzoxim (144f). Zudem sind beide Verbindungen Pro-Formen des eigentlichen Wirkstoffs Bispyribac (144g), das heißt, die Oximester werden in der Pflanze zu Bispyribac verseift. Bispyribac, das als Natriumsalz in den Handel kommt, sowie Pyribenzoxim sind in den 1990er Jahren erstmals zugelassen worden. Bei den Wirkstoffen (144a), (144c) und (144e) bleibt daher abzuwarten, welche Vorteile die geringen Strukturvariationen gegenüber den bestehenden Marktprodukten erzielen. Damit ist auch fraglich, ob es eine Zulassung über den chinesischen oder vielmehr engeren asiatischen Markt hinaus geben wird, auch wenn Kingagroot eine breite Vermarktung ihrer Produkte propagiert.

In Form von Flufenoximacil (144h) entwickelt Kingagroot zudem einen Wirkstoff aus der Gruppe der Protoporphyrinogenoxidase-Hemmer (PPO). Die Verbindung zählt zu den Vertretern der Trifluormethyluracile wie Saflufenacil und Epyrifenacil.141,143)

Die Herbizide Flusulfinam ((144i), ebenfalls Kingagroot) und Iptriazopyrid ((144j), Nissan Chemical Corporation) dagegen sind Hydroxyphenylpyruvatdehydrogenase-Inhibitoren (HPPD). Aus dieser Substanzklasse kamen in den letzten Jahren ebenfalls reichlich neue Entwicklungsprodukte. Die Verbindungen unterscheiden sich von den bisher entwickelten Produkten in dem Eisen-chelatisierenden Motiv.144) Während hier bisher nur 1,3-Cylohexandione, Pyrazolone oder Diketonitrile bekannt sind, tragen (144i) und (144j) an dieser Stelle eine Aminooxadiazoleinheit. In der Patentliteratur sind solche (1,2,5-Oxadiazol-3-yl)-benzamide etwa seit dem Jahr 2012 vielfach beschrieben, über ihr Wirkspektrum ist bisher allerdings noch nichts bekannt. Ein Einsatz im Reis- und/oder Maisanbau ist bei HPPD-Inhibitoren wohl am wahrscheinlichsten.

Karsten Körber, Christian Winter,

Markus Kordes, BASF

karsten.koerber@basf.com,

christian.a.winter@basf.com,

markus.kordes@basf.com

Grund- und Feinchemikalien

Der European Green Deal und die Initiative Ecodesign for Sustainable Products wollen den Aufbau einer Kreislaufwirtschaft in Europa vorantreiben. Die Monomere für die Polymerherstellung werden in Zukunft also nicht mehr ausschließlich aus fossilen oder biobasierten Quellen gewonnen, sondern aus Polymeren, die am Ende ihrer Nutzungsdauer angekommen sind. Allerdings sind entsprechende Techniken noch zu erarbeiten. Die Gruppen um Buchard und Williams präsentierten einen gegenüber dem reinen Mg-System verbesserten, heterodinuklearen MgII/CoII-Depolymerisationskatalysator für CO2-basierte Polycarbonate, der gemäß dem Prinzip der mikroskopischen Reversibilität auch ein aktiverer Katalysator für die Copolymerisation von CO2 und Epoxiden ist.145) Die fortlaufende Entfernung von CO2 fördert die Depolymerisation und schiebt das Gleichgewicht auf die Eduktseite. So sind auch thermisch stabile Polymere recyclebar, sodass bezüglich der Produkteigenschaften keine Kompromisse eingegangen werden müssen. Mit Polycyclohexencarbonat (PCHC) wurde eine TOF von bis zu 26 000 h–1 erreicht, was einer Belastung von 5 kg PCHC pro Gramm Katalysator pro Stunde entspricht. Obwohl PCHC bis 240 °C thermisch stabil ist, läuft die Rückspaltung mit nur 0,01 Molprozent bei 140 °C und mit höherer Katalysatorkonzentration bereits bei 100 °C. Die Selektivität betrug mehr als 99 %, die Bildung fünfgliedriger Carbonate wurde vollständig unterdrückt. Auch andere Polycarbonate lassen sich mit dem neuartigen Katalysatorsystem (145) recyclen (Abbildung 39). Lösungsmittel ist nicht nötig; vorgefertigte Polymerfilme auf dem festen Katalysator erzielen die besten Ergebnisse. Die Reaktion verläuft über den Abbau der Kettenenden – der Kohlensäurehalbester am Kettenende verliert also CO2 –, und die neu entstandene, an eines der Metallzentren gebundene Alkoxidgruppe substituiert die über das zweite Metallzentrum aktivierte, benachbarte Carbonatgruppe. Dadurch wird das Epoxid freigesetzt.

https://eu-central-1.graphassets.com/Aype6X9u2QGewIgZKbFflz/koZxejGAT8mSIhBfokwy
Depolymerisation von Polyalkencarbonaten.

Mehrere Arbeiten beleuchteten unterschiedliche Aspekte der Hydroformylierung von Alkenen – die Heterogenisierung der normalerweise homogen-katalysierten Reaktion und die Steuerung des iso:n-Verhältnisses.146) Dies unterstreicht, wie wichtig die Hydroformylierung ist, um große Mengen Aldehyde und Alkohole aus Olefinen bereitzustellen. Die Heterogenisierung des Katalysatorsystems verdient besondere Beachtung, weil so die Rückgewinnung des seltenen Rhodiums aus großen Stoffströmen verzichtbar wird.

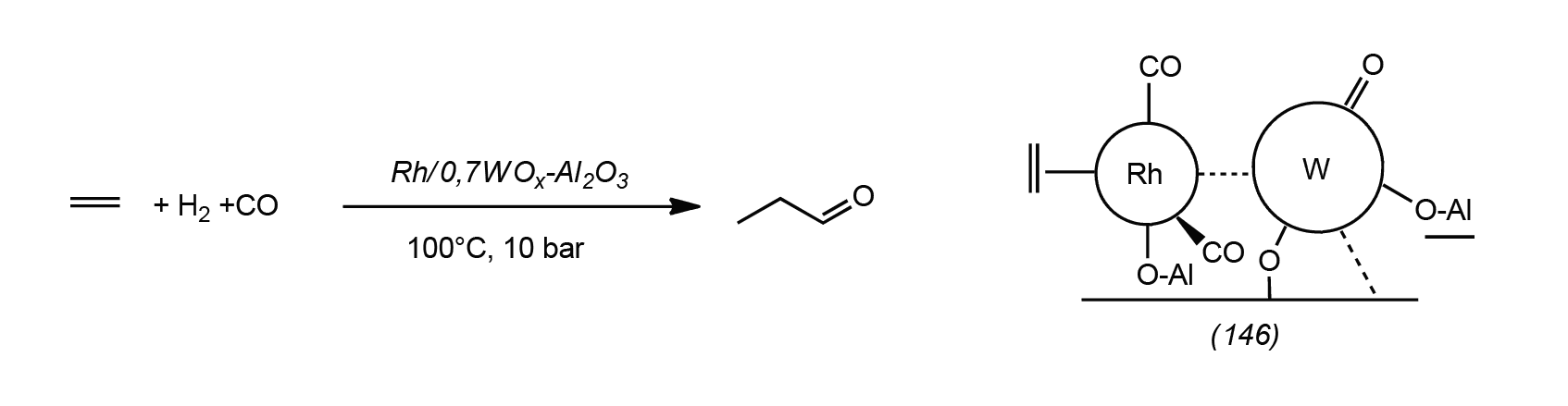
Rh auf Metalloxidträgern hydriert zwar Alkene, wird aber von CO gesättigt und deaktiviert. Wolframoxid (WOx) dagegen interagiert in der Metathese stark mit Alkenen. Basierend auf diesen Beobachtungen entwickelten mehrere Gruppen einen bifunktionalen Rh-0,7WOx-Katalysator auf Aluminiumoxid (Abbildung 40).146a) Dabei betrug die Beladung mit Rh 0,23 bis 0,29 % und mit W 0,7%. Die Beladungen mit W wurden variiert; bei unter 2 % lag WOx als isolierte und zweidimensionale Spezies vor. DFT-Rechnungen zufolge bilden sich W-Rh-Zentren, die in der Bindung und Umsetzung der Reaktanden zusammenwirken. Abbildung 40 zeigt schematisch eine der postulierten Zwischenstufen im Katalysezyklus, (146). Die mikrokinetische Modellierung stimmte gut mit den experimentellen Daten bei 1 und 10 bar in der Gasphase überein. Der Katalysator war über 70 Stunden stabil und lieferte bei 10 bar und 100 °C eine Selektivität von 96 % bei einem Umsatz von 28 %. Da die Selektivität nicht umsatzabhängig war, ist damit zu rechnen, dass sich die Raumzeitausbeute von derzeit 0,1 g Propanal · cm–3 · h–1 noch deutlich steigern lässt.

https://eu-central-1.graphassets.com/Aype6X9u2QGewIgZKbFflz/RThdScyQcK6toyh2CsyH
Hydroformylierung von Ethen mit einem bifunktionalen Rh-W-System.

Martin Ernst, BASF

martin.ernst@basf.com

Drei Fragen an den Koordinator: Martin Breugst

Was sind derzeit Ihre Hauptforschungsprojekte?

Vor allem die Anwendung ungewöhnlicher nicht-kovalenter Wechselwirkungen wie Halogenbrücken. Insbesondere molekulares Iod interessiert uns hier als einfacher Katalysator. Zudem nutzen wir Rechenmethoden, um Reaktionen zu verstehen und vorherzusagen.

Welche Methode wurde in den letzten Jahren vermehrt genutzt, die auch Sie für Ihre Forschung brauchen?

Durch die Nobelpreise 2021 und 2022 sind Organokatalyse, Klickchemie und damit verwandte pericyclische Reaktionen wieder besonders aktuell. Beide Bereiche sind auch für uns interessant.

In welchem Gebiet erwarten Sie in den nächsten Jahren die größten Entwicklungen und warum?

Wichtig scheinen mir maschinelles Lernen und künstliche Intelligenz zur Identifikation neuer Strukturen oder Reaktionen. Teilweise werden diese Techniken bereits erfolgreich in der Chemie eingesetzt, aber eine Routineanwendung ist derzeit nur bedingt möglich.

Martin Breugst, Jahrgang 1980, arbeitet seit 2022 als Heisenberg-Professor für Theoretische Organische Chemie an der TU Chemnitz. Seit 2021 koordiniert er die Trendberichte Organische Chemie.https://eu-central-1.graphassets.com/Aype6X9u2QGewIgZKbFflz/9qZ9LTRQPy7FjuXbAG6A

  • 1 H. Zhou, Y. Zhou, H. Yong Bae et al., Nature 2022, 605, 84–89
  • 2 I. Klose , G. Di Mauro, D. Kaldre, N. Maulide, Nat. Chem. 2022 , 14, 1306–1310
  • 3 J. Dong, L. Krasnova, M. G. Finn, K. B. Sharpless, Angew. Chem. Int. Ed. 2014, 53, 9430–9448
  • 4 C. J. Smedley, J. A. Homer, T. L. Gialelis et al., Angew. Chem. Int. Ed. 2022, 61, e202112375
  • 5 L. F. T. Novaes, J. S. K. Ho, K. Maoet al., J. Am. Chem. Soc. 2022, 144, 1187–1197
  • 6 S. Gnaim, A. Bauer, H.-J. Zhang et al., Nature 2022, 605, 687–695
  • 7 S. Charvet, M. Médebielle, J. C. Vantourout, J. Org. Chem. 2022, 87, 5690–5702
  • 8 D. Wang, T. Jiang, H. Wan et al., Angew. Chem. Int. Ed. 2022, 61, e202201543
  • 9 K. Hayashi, J. Griffin, K. C. Harper, Y. Kawamata, P. S. Baran, J. Am. Chem. Soc. 2022, 144, 5762–5768
  • 10 J. C. Bieniek, M. Grünewald, J. Winter, D. Schollmeyer, S. R. Waldvogel, Chem. Sci. 2022, 13, 8180–8186
  • 11 N. Tanbouza, A. Petti, M. C. Leech et al., Org. Lett. 2022, 24, 4665–4669
  • 12 a) S. B. Beil, D. Pollok, S. R. Waldvogel, Angew. Chem. Int. Ed. 2021, 60, 14750–14759; b) M. Klein, S. R. Waldvogel, Angew. Chem. Int. Ed. 2022, 61, e202204140
  • 13 J. D. Watson, L. D. Field, G. E. Ball, Nat. Chem. 2022, 14, 801
  • 14 P. Jain, N. Kumar, V. Avasare, J. Org. Chem. 2022, 87, 12547
  • 15 F. Le Vaillant, A. Mateous Calbet, S. González-Pelayo et al., Nature 2022, 604, 677
  • 16 Z. Ali, B.G. Budaitis, D.F.A. Fontaine, A.L. Pace, J.A. Garwin, M.C. White, Science 2022, 376, 276
  • 17 A. Banerjee, S. Sarkar, J.A. Shah et al., Angew. Chem. Int. Ed. 2022, 61, e202113841
  • 18 L. P. Manker, G. R. Dick, A. Demongeot et al., Nat. Chem. 2022, 14, 976–984
  • 19 S. Oh, E. E. Stache, J. Am. Chem. Soc. 2022, 144, 5745–5749
  • 20 Z. R. Hinton, P. A. Kots, M. Soukaseum et al., Green Chem. 2022, 24, 7332–7339
  • 21 B. Zhang, C. Kubis, R. Franke, Science 2022, 377, 1223–1227
  • 22 W. C. Hartley, F. Schiel, E. Ermini, P. Melchiorre, Angew. Chem. Int. Ed. 2022, 61, e202204735
  • 23 Q. Cheng, Z. Bai, S. Tewari, T. Ritter, Nat. Chem. 2022, 14, 898–904
  • 24 Y.-A. Zhang, V. Palani, A. E. Seim et al., Science 2022, 378, 383–390
  • 25 D. P. Schwinger, M. T. Peschel, T. Rigotti et al., J. Am. Chem. Soc. 2022, 144, 18927–18937
  • 26 R. Kleinmans, T. Pinkert, S. Dutta et al., Nature 2022, 605, 477–482
  • 27 S. J. Chapman, W. B. Swords, C. M. Le et al., J. Am. Chem. Soc. 2022, 144, 4206–4213
  • 28 A. Ruffoni, C. Hampton, M. Simonetti, D. Leonori, Nature 2022, 610, 81–86
  • 29 H. Wang, S. Wang, V. George, G. Llorente, B. König, Angew. Chem. Int. Ed. 2022, 61, e202211578
  • 30 G. A. Kukier, A. Turlik, X.-S. Xue, K. N. Houk, J. Am. Chem. Soc. 2021, 143, 21694–21704
  • 31 E. Blokker, W.-J. van Zeist, X. Sun et al., Angew. Chem. Int. Ed. 2022, 61, e202207477
  • 32 V. Gorbachev, A. Tsybizova, L. Miloglyadova, P. Chen, J. Am. Chem. Soc. 2022, 144, 9007–9022
  • 33 T. Gensch, G. Dos Passos Gomes, P. Friederich et al., J. Am. Chem. Soc. 2022, 144, 1205–1217
  • 34 H. F. König, H. Hausmann, P. R. Schreiner, J. Am. Chem. Soc. 2022, 144, 16965–16973
  • 35 K. M. Flynn, I. S. Myeong, T. Pinto, M. Movassaghi, J. Am. Chem. Soc. 2022, 144, 9126–9131
  • 36 I. S. Myeong, N. H. Avci, M. Movassaghi, Org. Lett. 2021, 23, 9118–9122
  • 37 K. M. Flynn, K. L. White, M. Movassaghi, J. Org. Chem. 2022, 87, 2975–2984
  • 38 K. L. White, M. Movassaghi, J. Am. Chem. Soc. 2016, 138, 11383–11389
  • 39 T. Kang, K. L. White, T. J. Mann, A. H. Hoveyda, M. Movassaghi, Angew. Chem. Int. Ed. 2017, 56, 13857–13860
  • 40 P. Germer, J. N. Andexer, M. Müller, Synthesis 2022, 54, 4401
  • 41 C. T. Walsh, B. P. Tu, Y. Tang, Chem. Rev. 2018, 118, 1460
  • 42 Z. Hu, T. Awakawa, Z. Ma, I. Abe, Nat. Commun. 2019, 10, 184
  • 43 L. Barra, T. Awakawa, K. Shirai et al., Nature 2021, 600, 754
  • 44 C. S. Harmange Magnani, T. J. Maimone, J. Am. Chem. Soc. 2021, 143, 7935
  • 45 L. Barra, T. Awakawa, I. Abe, JACS Au 2022, 2, 1950
  • 46 B. Hong, D. Grzech, L. Caputi et al., Nature 2022, 607, 617–622
  • 47 H. Tao, L. Lauterbach, G. Bian et al., Nature 2022, 606, 414–419
  • 48 K. D. Bauman, V. V. Shende, P. Y.-Y. Chen et al., Nat. Chem. Biol. 2022, 18, 538–546
  • 49 F. Trottmann, K. Ishida, M. Ishida-Ito et al.,, Nat. Chem. 2022, 14, 884–890
  • 50 P. M. D’Agostino, C. J. Seel, X. Ji, T. Gulder, T. A. M. Gulder, Nat. Chem. Biol. 2022, 18, 652–658
  • 51 A. Rittner, M. Joppe, J. J. Schmidt et al., Nat. Chem. 2022, 14, 1000–1006
  • 52 P. A. Haack, K. Harmrolfs, C. D. Bader et al., Angew. Chem. Int. Ed. 2022, 61, e202212946
  • 53 N. Kurisawa, A. Iwasaki, K. Teranuma et al., J. Am. Chem. Soc. 2022, 122, 11019–11032
  • 54 R. Ueoka, P. Sondermann, S. Leopold-Messer, Y. Liu et al., Nat. Chem. 2022, 14, 1193–1201
  • 55 H. Tao, L. Lauterbach, G. Bian, R. Chen et al., Nature 2022, 606, 414–419.
  • 56 J.-D. Park, Y. Li, K. Moon et al., Angew. Chem. Int. Ed. 2022, 61, e202114022
  • 57 R. J. B. Schäfer, K. Wilson, M. Biedermann et al., Chem. Eur. J. 2022, 28, e202203277
  • 58 K. P. Nandhini, F. Albericio, B. G. de la Torre, J. Org. Chem. 2022, 87, 9433–9442
  • 59 M. Leko, P. Filippova, M. Dorosh et al.,, Org. Proc. Res. Dev. 2022, 26, 144–148
  • 60 M. Kandasamy, H. Ishitani, S. Kobayashi, Adv. Synth. Catal. 2022, 364, 3389–3395
  • 61 J. Hindges (nee Bramski), J. Döbber, M. R. Hayes et al.,, ChemCatChem 2022, 14, e2202200390
  • 62 M. Takumi, H. Sakue, A. Nagaki, Angew. Chem. Int. Ed. 2022, 61, e202116177
  • 63 J. H. Griwatz A. Kunz, H. A. Wegner, Beilstein J. Org. Chem. 2022, 18, 781–787
  • 64 H. Lehmann, T. Ruppen, T. Knoepfel, Org. Proc. Res. Dev. 2022, 26, 1308–1317
  • 65 P. Musci, M. Colella, M. Andresini et al., Chem. Commun. 2022, 58, 6356–6359
  • 66 W. Li, M. Jiang, M. Liu et al.,, Chem. Eur. J. 2022, 28, e202200700
  • 67 Z. Yang, Y. Chen, L. Wan, X. Cen, P. Tang, F. Chen, Chem. Commun. 2022, 58, 10869–10872
  • 68 B. S. Nagy, P. Llanes, M. A. Pericas, C. Oliver Kappe, S. B. Ötvös, Org. Lett. 2022, 24, 1066–1071
  • 69 J. M. Lee, J. Kwon, S. J. Lee et al., Sci. Adv. 2022, 8, eabl8614
  • 70 A. M. K. Nambiar, C. P. Breen, T. Hart et al., ACS Cent. Sci. 2022, 8, 825–836
  • 71 A. Mullard, Nat. Rev. Drug Discovery 2022, 21, 623–625
  • 72 C. Harrison, Nat. Biotechn. 2022, 40, 446–448
  • 73 J. Paik , Drugs 2022, 82, 1499–1504
  • 74 Y. Y. Syed, Drugs 2022, 82, 1213–1220
  • 75 J. Paik, Drugs 2022, 82, 925–931
  • 76 www.fda.gov/news-events/press-announcements/fda-approves-first-cell-based-gene-therapy-treat-adult-and-pediatric-patients-beta-thalassemia-who
  • 77 J. Hennessy, B. Mc Gorman, Z. Molphy et al., Angew. Chem. Int. Ed. 2022, 61, e20211045
  • 78 S. Moreno, J. M. Ramos Pittol, M. Hartl, R. Micura, Org. Biomol. Chem. 2022, 20, 7845–785
  • 79 A. Bujalska, K. Basranb, N. W. Luedtke, RSC Chem. Biol. 2022, 3, 698–701
  • 80 Y. Masaki, Y. Onishi, K. Seio, Sci. Rep. 2022, 12, 12095
  • 81 R. Bereiter, E. Renard, K. Breuker et al., J. Am. Chem. Soc. 2022, 144(23), 10344–10352
  • 82 A. Blümler, H. Schwalbe, A. Heckel, Angew. Chem. Int. Ed. 2022; 61, e202111613
  • 83 S. Kumar Jana, S. Harikrishna, S Sudhakar et al., Org. Chem. 2022, 87(5), 2367–2379
  • 84 P. Ghosh, H. M. Kropp, K. Betz et al., J. Am. Chem. Soc. 2022, 144(23), 10556–10569
  • 85 H. Neitz, I. Bessi, V. Kachler, M. Michel, C. Höbartner, Angew. Chem. Int. Ed. 2022, e202214456
  • 86 D. Wang, A. Shalamberidze, A. E. Arguello, B. W. Purse, R. E. Kleiner, J. Am. Chem. Soc. 2022, 144(32), 14647–14656
  • 87 N. Klöcker, F.P. Weissenboeck, M. van Dülmen et al., Nat. Chem. 2022. 14, 905–913
  • 88 A. Dousis, K. Ravichandran, E. M. Hobert, M. J. Moore, A. E. Rabideau. Nat. Biotechnol. 2022, doi: 10.1038/s41587–022–01525–6
  • 89 N. Freund, A. I. Taylor, S. Arangundy-Franklin et al.,Nat. Chem. 2022, doi: 10.1038/s41557–022–01050–8
  • 90 G. Leveau, D. Pfeffer, B. Altaner et al., Angew. Chem. Int. Ed. 2022, 61, e202203067
  • 91 F. Müller, L. Escobar, F. Xu et al., Nature 2022, 605, 279 –284
  • 92 J. Pawlas, J. H. Rasmussen, Org. Lett. 2022, 24, 1827−1832
  • 93 C. Zoukimian, R. Béroud, D. Boturyn, Org. Lett. 2022, 24, 3407−3410
  • 94 R. Vanjari, D. Panda, S. Mandal, G. B. Vamisetti, A. Brik, J. Am. Chem. Soc. 2022, 144, 4966−4976
  • 95 W. Yao D.-C. Xiong, Y. Yang et al., Nat. Synth. 2022, 1, 854–863
  • 96 K.-M. Liu, P.-Yu Wang, Z.-Y. Guo et al., Angew. Chem. Int. Ed. 2022, 61, e202114726
  • 97 C. Zhang H. Zuo, G. Y. Lee et al., Nat. Chem. 2022, 14, 686–694
  • 98 Q. Li S. M. Levi, C. C. Wagen et al., Nature 2022, 608, 74–80
  • 99 K. Greis S. Leichnitz, C. Kirschbaum et al., J. Am. Soc. Chem. 2022, 144, 20258–20266
  • 100 X. Zou J. Hu, M. Zhao et al., J. Am. Soc. Chem. 2022, 144, 14535–14547
  • 101 H. Shu, M. J. Guo, M. C. Y. Wang et al., Angew. Chem. Int. Ed. 2022, 61, e202209594
  • 102 F. Hao, T. Zhang, D. Yu et al., Org. Lett. 2022, 24, 1716–1721
  • 103 T. Kawai, A. Ishikawa, S.-i. Ishida et al., Angew. Chem. Int. Ed. 2022, 61, e202114697
  • 104 M. Matviyishhyn, A. Białońska, B. Szyszko, Angew. Chem. Int. Ed. 2022, 61, e202211671
  • 105 Y. Rao, L. Xu, M. Zhou et al., Angew. Chem. Int. Ed. 2022, 61, e202206899
  • 106 S. Arikawa, A. Shimizu, D. Shiomi, K. Sato, R. Shintani, J. Am. Chem. Soc. 2021, 143, 19599–19605
  • 107 L. Valenta, M. Mayländer, P. Kappeler et al., Chem. Commun. 2022, 58, 3019–3022
  • 108 A. Shimizu, T. Morikoshi, K. Sugisaki et al., Angew. Chem. Int. Ed. 2022, 61, e202205729
  • 109 M. Sugiyama, M. Akiyama, Y. Yonezawa et al., Science 2022, 377, 756–759
  • 110 M. Mahl, M. A. Niyas, K. Shoyama, F. Würthner, Nat. Chem. 2022, 14, 457–462
  • 111 Y. Hu , C. Wu, Q. Pan et al., Nat. Synth. 2022, 1, 449–454
  • 112 B. Zhang, S. Wu, X. Hou et al., Chem 2022, 8, 2581–2583
  • 113 Y. Segawa, T. Watanabe, K. Yamanoue et al., Nat. Synth. 2022, 1, 535–541
  • 114 K. Koner, S. Karak, S. Kandambeth et al., Nat. Chem. 2022, 14, 507–514
  • 115 J. Kloos, N. Jansen, M. Houben et al., ACS Applied Polymer Materials 2022, 4(10), 7426–7436
  • 116 J. Ma, Y. Yang, C. Valenzuela, X. Zhang, L. Wang, W. Feng, Angew. Chem. Int. Ed. 2022, 61, e202116219
  • 117 J. A. H. P. Sol, L. G. Smits, A. P. H. J. Schenning, , M. G. Debije, Adv. Funct. Mater. 2022, 32, 2201766
  • 118 M. Blanke, L. Postulka, I. Ciara et al., ACS Appl. Mater. Inter. 2022, 14(14), 16755–16763
  • 119 M. Ebert, I. Carrasco, N. Dumai et al., Chem. Eur. J. 2022, 28, e202103446
  • 120 M. Lambov, P. Maier, M. Jasinski, P. Kaszynski, M. Lehmann, J. Mater. Chem. C 2022, 10, 8728–8739
  • 121 R. J. Mandle, N. Sebastián, J. Martinez-Perdiguero, A. Mertelj, Nat. Commun. 2021, 12, 4962
  • 122 C. Lamberth, ACS Med. Chem. Lett. 2022, 13, 895–903.
  • 123 M. Hamamoto, R. Aizawa, K. Koda, T. Fukuchi, J. Pestic. Sci. 2021, 46, 198–205.
  • 124 C. Winter, M. Fehr, Recent Highlights in the Discovery and Optimization of Crop Protection Products 2021, 401–423, Herausgeber: P. Maienfisch, S. Mangelinckx, Elsevier, Amsterdam.
  • 125 C. Winter, M. Fehr, I.R. Craig et al., Pest Manag. Sci. 2020, 76, 3357–3368
  • 126 pubchem.ncbi.nlm.nih.gov/compound/68289416.
  • 127 Y. Matsuzaki, Y. Yoshimoto, S. Arimori, F. Iwahashi, Recent Highlights in the Discovery and Optimization of Crop Protection Products 2021, 425–432, Herausgeber: P. Maienfisch, S. Mangelinckx, Elsevier, Amsterdam
  • 128 S. M. Cady, P. Cheifetz, I. Galeska, L. Le Hir de Fallois, WO 2016/164487
  • 129 Z. An, L. Chen, S. Chen, J. M. Defauw, S. D. Holmstrom, P. Hu, C. Tang, W. H. White, W Wu, Y. Zhang, WO 2012/155676
  • 130 R. S. Readnour, K. E. Willard, J. R. Winkle, WO 2022/192631
  • 131 Y. Kobayashi, H. Daido, H. Katsuta, M Nomura, H. Tsukada, A. Hirabayashi, Y. Takahashi, Y. Aoki, A. Kawahara, Y. Fukazawa, US 20110201687
  • 132 A. Foerster, F. Simons, L. Zhang, X. Jiang, B. Olenik, S. Dworacek, WO 2022/101502
  • 133 H. Wu, L. Xu, CN 105613562
  • 134 L. Xu, S. Tian, C. Liu, W. Chen, M. Wang, B. Yuan, CN 103130770.
  • 135 https://news.agropages.com/News/NewsDetail---42535.htm
  • 136 L. Xu, R. Yin, X. Feng, CN 102060818
  • 137 V. A. Anthony, J. M. Clough, P. DeFraine, C. R. A. Godfrey, I. Ferguson, P. J. Crowley, M. G. Hutchings, EP242081
  • 138 O. F. Hueter, N. A. Miller, P. Wege, M. Hoppe, P. Maienfisch, M. D. Turnbull, WO 2016/193267
  • 139 Compendium of Pesticide Common Names: www.bcpcpesticidecompendium.org/
  • 140 www.kingagroot.com/En/html/index.html
  • 141 K. Körber, C. Winter, M. Kordes, Nachr. Chem. 2021, 69, 67–68
  • 142 M. Kordes, C. Winter, A. Narine, Nachr. Chem. 2019, 67, 68–70
  • 143 T. Seitz, A. Kleemann, W. von Deyn, Nachr. Chem. 2010, 58, 298–299
  • 144 A. von Almsick, Modern Crop Protection Compounds 2012, Vol.1, 262–276, Herausgeber: W. Krämer, U. Schirmer, P. Jeschke, M. Witschel, Wiley-VCH, Weinheim
  • 145 A. Buchard, C. K. Williams, T. M. McGuire et al., J. Am. Chem. Soc. 2022, 144, 18444–18449
  • 146 a) P. Christopher, I. Ro, J. Qi et al., Nature 2022, 609, 287–292 ; b) P. Dydio, M. Sigrist, Y. Zhang et al., Angew. Chem. Int. Ed. 2022, 61, e202116406

    Wissenschaft + Forschung

    Überprüfung Ihres Anmeldestatus ...

    Wenn Sie ein registrierter Benutzer sind, zeigen wir in Kürze den vollständigen Artikel.