Artikel
Prenyl im Sechserpack
Nachrichten aus der Chemie, September 2022, S. 52-55, DOI, PDF. Login für Volltextzugriff.
Von Wiley-VCH zur Verfügung gestellt
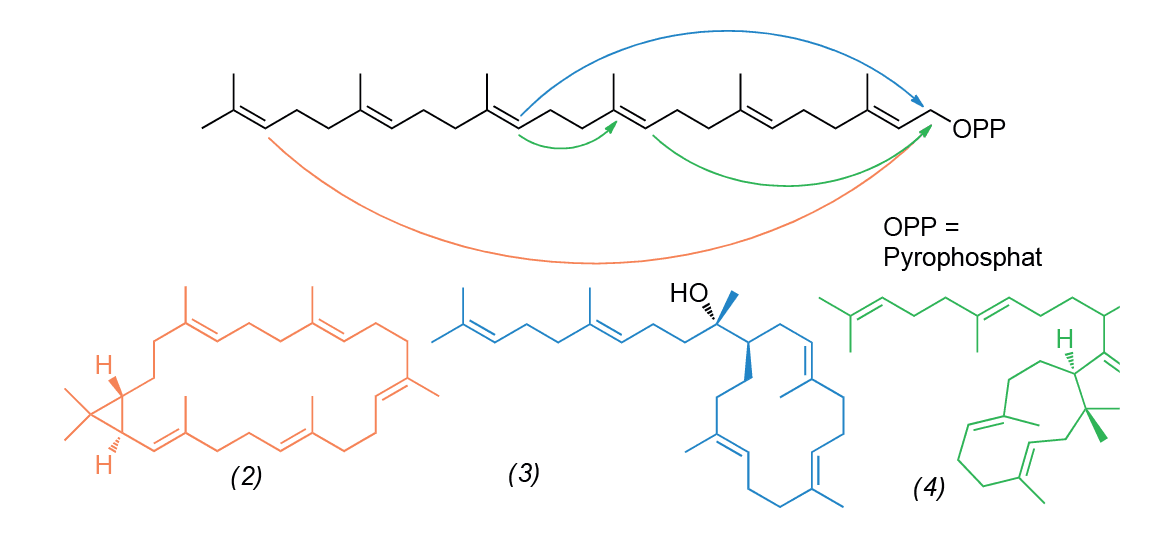
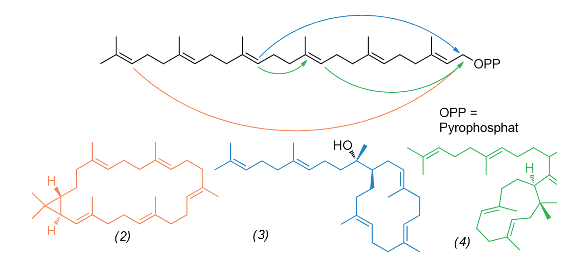
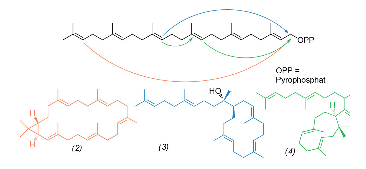
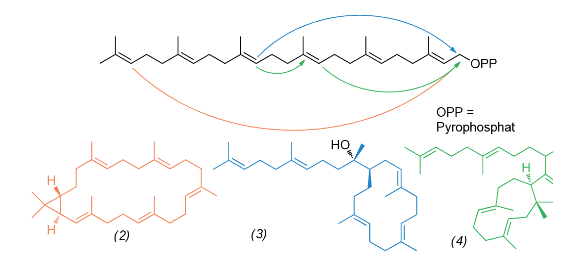
Tao und Kollegen haben Terpensynthasen entdeckt, die neuartige Triterpene bilden. Normalerweise werden drei C5-Einheiten zu Farnesylpyrophosphat verknüpft – zwei davon Kopf-an-Kopf zur C30-Einheit (Triterpen), die dann cyclisiert. In der aktuellen Arbeit cyclisierte das C30-Molekül Hexaprenylpyrophosphat, in dem alle C5-Einheiten Kopf-an-Schwanz verknüpft sind. Die Cyclisierungen laufen nach dem bei kürzeren Terpenen üblichen kationischen Mechanismus unter Abspaltung von Pyrophosphat ab. Je nach Enzym entstehen verschiedene Makrocyclen, die bis zu 22 Atome umfassen. HK, UJ
- Nature 2022, doi: 10.1038/s41586–022–04773–3
Überprüfung Ihres Anmeldestatus ...
Wenn Sie ein registrierter Benutzer sind, zeigen wir in Kürze den vollständigen Artikel.