Meldung
meso-Diole oxidiert und chiral gemacht
Nachrichten aus der Chemie, Juli 2023, S. 46-49, DOI, PDF. Login für Volltextzugriff.
Von Wiley-VCH zur Verfügung gestellt
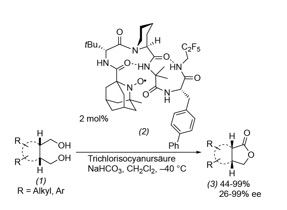
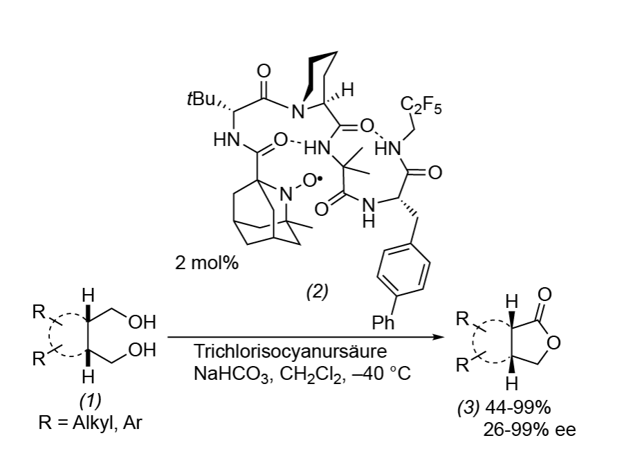
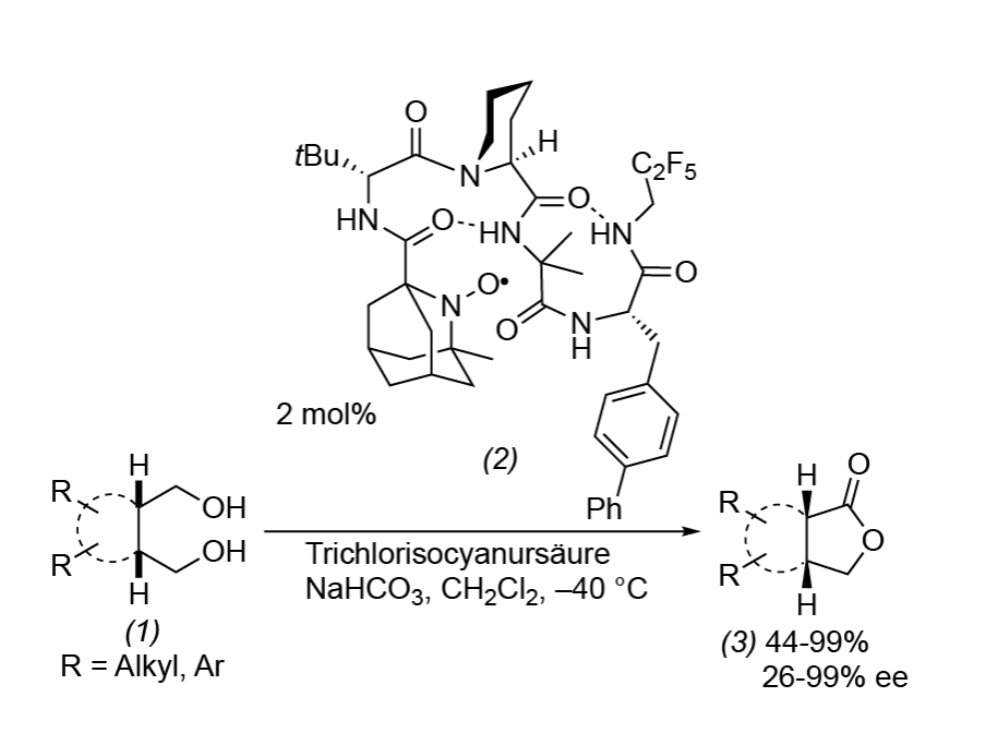
Die Lin-, Miller- und Sigman-Gruppen oxidieren die meso-Diole (1) zu den chiralen Lactonen (3) mit Enantiomerenüberschüssen von 26 bis 99 %. Verwendet wird der chirale peptidische Azado-Radikalkatalysator (2). Die Aminoxylgruppe von (2) wird durch Trichlorisocyanursäure zum N-Oxoiminiumion oxidiert. Die Hydroxygruppe des meso-Diols, in der die beiden benachbarten Substituenten α-orientiert sind, addiert bevorzugt an die Oxoiminiumgruppe. Das konformativ eingeschränkte Peptidgerüst begünstigt das. Die andere Hydroxygruppe des Substrats macht die Reaktion enantioselektiver, indem sie eine Wasserstoffbrückenbindung zur terminalen Fluoralkylamideinheit ausbildet. Die resultierenden Hydroxyaldehyde cyclisieren und oxidieren schließlich zu den Lactonen (3). UJ
- Science 2023, doi: 10.1126/science.adf6177
Überprüfung Ihres Anmeldestatus ...
Wenn Sie ein registrierter Benutzer sind, zeigen wir in Kürze den vollständigen Artikel.