Meldung
Frustriert-radikalisch C-H-funktionalisieren
Nachrichten aus der Chemie, Oktober 2023, S. 44-47, DOI, PDF. Login für Volltextzugriff.
Von Wiley-VCH zur Verfügung gestellt
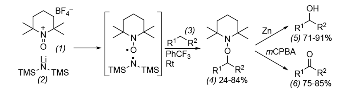
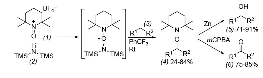
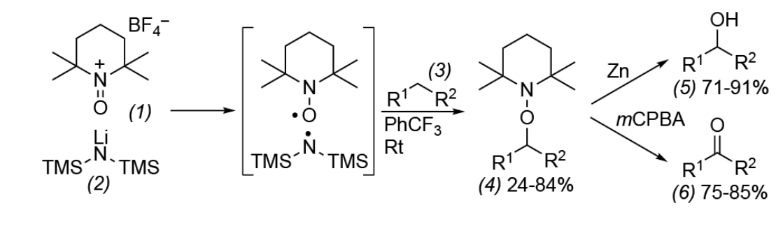
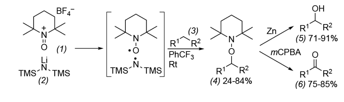
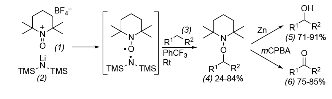
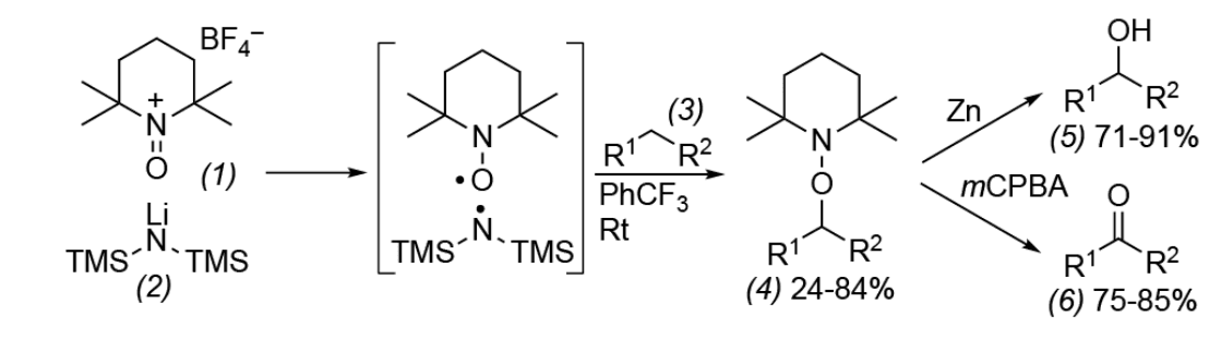
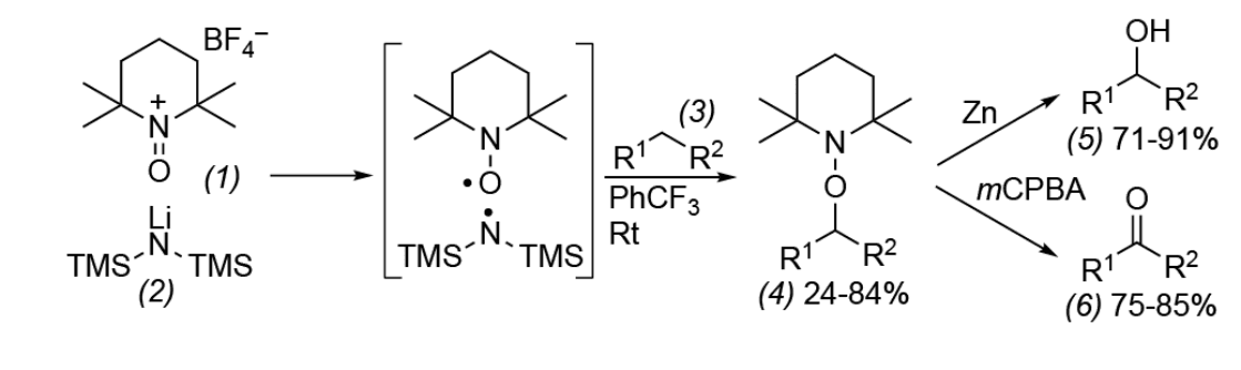
Die Lin-Gruppe von der Cornell-Universität in New York beschreibt eine einfache Methode zur C-H-Oxygenierung von Kohlenwasserstoffen (3) mit dem Oxopiperidiniumsalz (1) und Lithiumhexamethyldisilazid (2). Durch spontanen Elektronentransfer bildet sich ein frustriertes Radikalpaar aus Tempo und Disilylaminylradikal. Das reaktive Aminylradikal abstrahiert ein Wasserstoffatom aus den Substraten (3) und das gebildete Alkylradikal kuppelt mit Tempo zu den Addukten (4), die in 24 bis 87 % Ausbeute isoliert werden.
Das Addukt lässt sich zu den Alkoholen (5) oder den Ketonen (6) weiterfunktionalisieren. UJ
- Nature 2023, doi: 10.1038/s41586-023-06131-3
Überprüfung Ihres Anmeldestatus ...
Wenn Sie ein registrierter Benutzer sind, zeigen wir in Kürze den vollständigen Artikel.