Meldung
Biosynthese eines Indolalkaloids
Nachrichten aus der Chemie, Oktober 2023, S. 44-47, DOI, PDF. Login für Volltextzugriff.
Von Wiley-VCH zur Verfügung gestellt
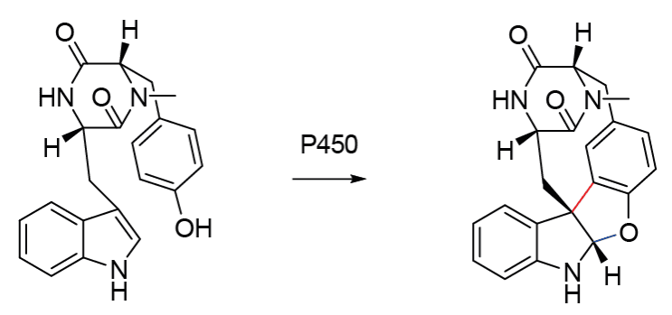
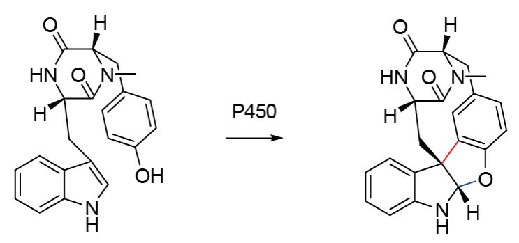
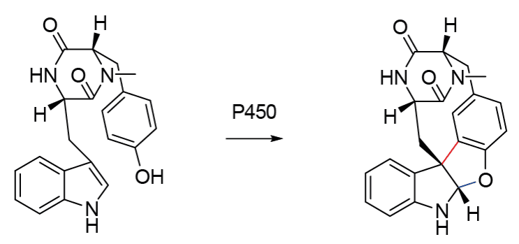
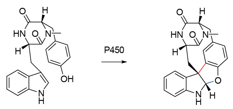
Ein Team um Tang an der University of California hat einen wichtigen Schritt in der Biosynthese des verbrückten Indolalkaloids Azonazin A aufgeklärt. Ein Cytochrom-P450-Enzym katalysiert die oxidative Cyclisierung zum Benzofuranoindolin. Der Mechanismus verläuft über eine Reaktionskaskade. Diese startet mit einer C-C-Kupplung, bei der ein Elektron übertragen wird, gefolgt von einer Cyclisierung, bei der zwei Elektronen übertragen werden. LeB
- Angew. Chem. Int. Ed. 2023, doi: 10.1002/anie.202311266
Überprüfung Ihres Anmeldestatus ...
Wenn Sie ein registrierter Benutzer sind, zeigen wir in Kürze den vollständigen Artikel.